103112-35-2
中文名称
解草唑
英文名称
FENCHLORAZOL-ETHYL
CAS
103112-35-2
分子式
C12H8Cl5N3O2
分子量
403.48
MOL 文件
103112-35-2.mol
更新日期
2023/07/27 07:45:26
103112-35-2 结构式
基本信息
中文别名
乙基解草唑乙基解草唑 ,0.1G 标准品
1-(2,4-二氯苯基)-5-三氯甲基-1,2,4-三唑-3-羧酸
1-(2,4-二氯苯基)-5-三氯甲基-1,2,4-三唑-3-羧酸乙酯
1-(2,4-二氯苯基)-5-(三氯甲基)-1H-1,2,4-三唑-3-羧酸乙酯
英文别名
hoe070542fenchlorazole-et
FENCHLORAZOL-ETHYL
fenchlorazole-ethyl
fenchlorazole-ethyl (bsi,draft e-iso)
ethyl1-(2,4-dichlorophenyl)-5-(trichloromethyl)-1h-1,2,4-triazole-3-carboxyl
1h-1,2,4-triazole-3-carboxylicacid,1-(2,4-dichlorophenyl)-5-(trichloromethyl)
ETHYL 1-(2,4-DICHLOROPHENYL)-5-(TRICHLOROMETHYL)-1H-1,2,4-TRIAZOLE-3-CARBOXYLATE
1-(2,4-Dichlorophenyl)-5-(trichloromethyl)-1H-1,2,4-triazole-3-carboxylic acid ethyl ester
1H-1,2,4-Triazole-3-carboxylic acid, 1-(2,4-dichlorophenyl)-5-(trichloromethyl)-, ethyl ester
所属类别
化学农药原药:农药杀菌剂物理化学性质
熔点110 °C
沸点469.8±55.0 °C(Predicted)
密度1.65±0.1 g/cm3(Predicted)
酸度系数(pKa)-3.59±0.50(Predicted)
形态neat
Henry's Law Constant2.7×103 mol/(m3Pa) at 25℃, MacBean (2012)
安全数据
警示词危险
危险性描述H350-H410
危险品标志T,N
危险类别码45-50/53
安全说明53-45-60-61
危险品运输编号UN3077 9/PG 3
WGK Germany3
RTECS号XZ4272500
REACH 注册登记Inactive
海关编码29339900
常见问题列表
化学性质
解草唑为白色无味固体,熔点108~112℃,蒸气压8.9×10―4mPa(20℃)。Henry常数3.71×10-4 Pa·m3/mol(20℃,计算值)。相对密度1.7(20℃)。水中溶解度0.9mg/L(20℃,pH4.5)。有机溶剂中的溶解度(20℃ ,g/L):丙酮360,二氯甲烷≥500,正己烷2.5,甲醇27,甲苯270。水溶液中水解 DT50: 115d(pH 5),5.5d(pH 7),0.079d(pH 9)。
毒性
急性经口 LD50( mg/kg):大鼠≥5000,小鼠≥2000。大鼠和兔急性经皮LD50>2000mg/kg。对兔皮肤和眼睛无刺激性作用,对豚鼠皮肤无致敏性。大鼠急性吸入LC50(4h)>1.52mg/L。NOEL( mg/kg饲料):(90d)大鼠1280,雄小鼠80,雌小鼠320;(1y)狗80。ADI(BfR)0.0025mg/ kgL1991]。
作用机理
解草唑的作用是加速信唑禾草灵在植株中的解毒作用,可改善小麦、黑麦等对有唑禾草灵的耐药性,对禾本科杂草的敏感性无明显影响。
应用
解草唑在各种气候条件和农业生产条件下的田间试验证实,对鼠尾看麦娘、燕麦、风草和藕草等许多禾本科杂草有相当高的除草活性。防除禾本科杂草时,不影响曙唑禾草灵的除草活性。无论苗前或苗后施用,均无除草活性,剂量高达10kg/hm2也无除草活性。
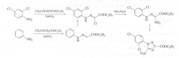
合成方法
解草唑的合成方法主要两种:

