返回ChemicalBook首页>CAS数据库列表>111133-90-5

111133-90-5

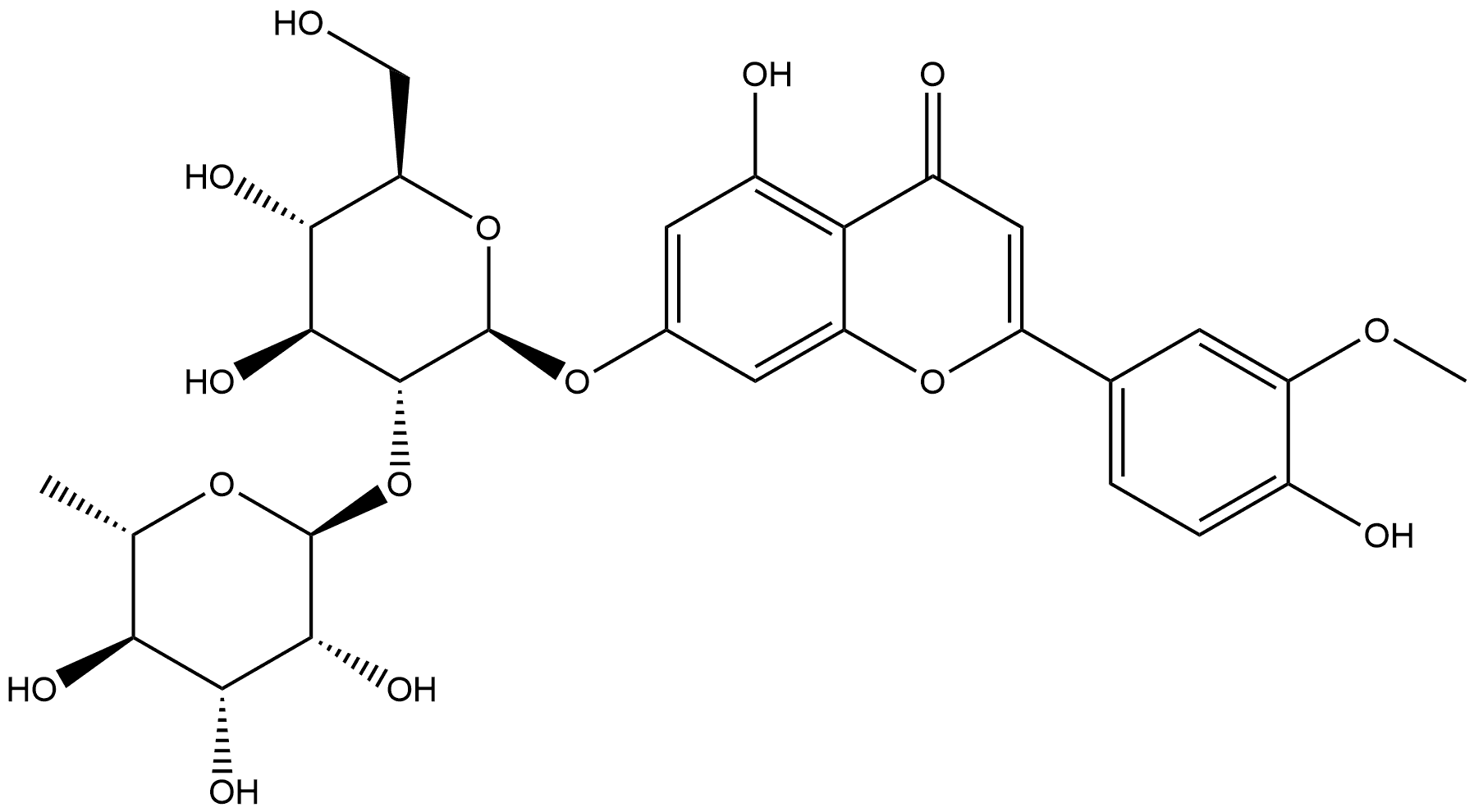
英文名称 4H-1-Benzopyran-4-one, 7-[[2-O-(6-deoxy-α-L-mannopyranosyl)-β-D-glucopyranosyl]oxy]-5-hydroxy-2-(4-hydroxy-3-methoxyphenyl)-
CAS 111133-90-5
分子式 C28H32O15
分子量 608.54
111133-90-5 结构式 111133-90-5 结构式

基本信息

英文别名
4H-1-Benzopyran-4-one, 7-[[2-O-(6-deoxy-α-L-mannopyranosyl)-β-D-glucopyranosyl]oxy]-5-hydroxy-2-(4-hydroxy-3-methoxyphenyl)-
"111133-90-5" 相关产品信息