返回ChemicalBook首页>CAS数据库列表>1199257-33-4

1199257-33-4

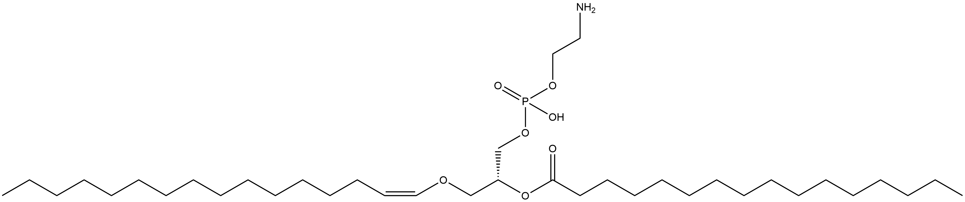
中文名称 化合物 1-1(Z)-HEXADECENYL-2-PALMITOYL-SN-GLYCERO-3-PE
英文名称 1-1(Z)-Hexadecenyl-2-Palmitoyl-sn-glycero-3-PE
CAS 1199257-33-4
分子式 C37H74NO7P
分子量 675.96
MOL 文件 1199257-33-4.mol
1199257-33-4 结构式 1199257-33-4 结构式

基本信息

中文别名
化合物 1-1(Z)-HEXADECENYL-2-PALMITOYL-SN-GLYCERO-3-PE
英文别名
1-1(Z)-Hexadecenyl-2-Palmitoyl-sn-glycero-3-PE

物理化学性质

沸点714.0±70.0 °C(Predicted)
密度0.992±0.06 g/cm3(Predicted)
溶解度Chloroform: 3 mg/ml
酸度系数(pKa)1.18±0.50(Predicted)
形态结晶固体
"1199257-33-4" 相关产品信息