返回ChemicalBook首页>CAS数据库列表>1221072-91-8

1221072-91-8

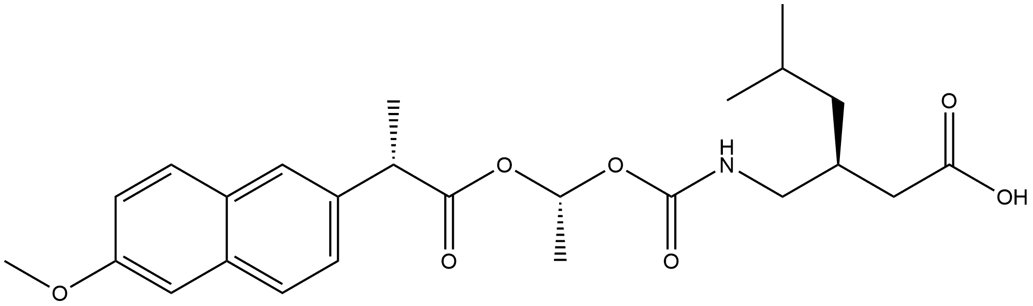
英文名称 2-Naphthaleneacetic acid, 6-methoxy-α-methyl-, (1R)-1-[[[[(2S)-2-(carboxymethyl)-4-methylpentyl]amino]carbonyl]oxy]ethyl ester, (αS)-
CAS 1221072-91-8
分子式 C25H33NO7
分子量 459.53
MOL 文件 1221072-91-8.mol
1221072-91-8 结构式 1221072-91-8 结构式

基本信息

英文别名
2-Naphthaleneacetic acid, 6-methoxy-α-methyl-, (1R)-1-[[[[(2S)-2-(carboxymethyl)-4-methylpentyl]amino]carbonyl]oxy]ethyl ester, (αS)-

物理化学性质

沸点633.6±50.0 °C(Predicted)
密度1.176±0.06 g/cm3(Predicted)
酸度系数(pKa)4.62±0.10(Predicted)

常见问题列表

概述
Pregabalinum naproxencarbilum (Pregabalin naproxencarbil) 是一种伽马氨基丁酸 (GABA) 模仿物,具有镇痛作用。
"1221072-91-8" 相关产品信息