返回ChemicalBook首页>CAS数据库列表>123924-38-9

123924-38-9

中文名称 化合物 T34601
英文名称 SEKDEL sequence
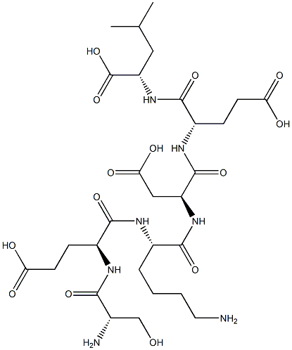
CAS 123924-38-9
分子式 C29H49N7O14
分子量 719.74
MOL 文件 123924-38-9.mol
123924-38-9 结构式 123924-38-9 结构式

基本信息

中文别名
化合物 T34601
英文别名
SEKDEL sequence
Ser-glu-lys-asp-glu-leu
L-Leucine, L-seryl-L-α-glutamyl-L-lysyl-L-α-aspartyl-L-α-glutamyl-

应用领域

用途一
Sekdel sequence is a signal which leads to retention of at least two proteins in the endoplasmic reticulum of animal cells.
"123924-38-9" 相关产品信息