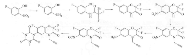
1258836-72-4
中文名称
1,5-dimethyl-6-thioxo-3-(2,2,7-trifluoro-3-oxo-4-(prop-2-ynyl)-3,4-dihydro-2H-benzo[b][1,4]oxazin-6-yl)-1,3,5-triazinane-2,4-dione
英文名称
1,5-dimethyl-6-thioxo-3-(2,2,7-trifluoro-3-oxo-4-(prop-2-ynyl)-3,4-dihydro-2H-benzo[b][1,4]oxazin-6-yl)-1,3,5-triazinane-2,4-dione
CAS
1258836-72-4
分子式
C16H11F3N4O4S
分子量
412.34
MOL 文件
1258836-72-4.mol
1258836-72-4 结构式
基本信息
中文别名
TRIFLUDIMOXAZIN 英文别名
Trifludimoxazin1,5-dimethyl-6-thioxo-3-(2,2,7-trifluoro-3-oxo-4-(prop-2-ynyl)-3,4-dihydro-2H-benzo[b][1,4]oxazin-6-yl)-1,3,5-triazinane-2,4-dione
1,3,5-Triazine-2,4(1H,3H)-dione, dihydro-1,5-dimethyl-6-thioxo-3-[2,2,7-trifluoro-3,4-dihydro-3-oxo-4-(2-propyn-1-yl)-2H-1,4-benzoxazin-6-yl]-
所属类别
化学农药原药:除草剂物理化学性质
沸点555.1±60.0 °C(Predicted)
密度1.69±0.1 g/cm3(Predicted)
酸度系数(pKa)-2.44±0.20(Predicted)
形态Solid
颜色Light yellow to khaki

