返回ChemicalBook首页>CAS数据库列表>1332833-27-8

1332833-27-8

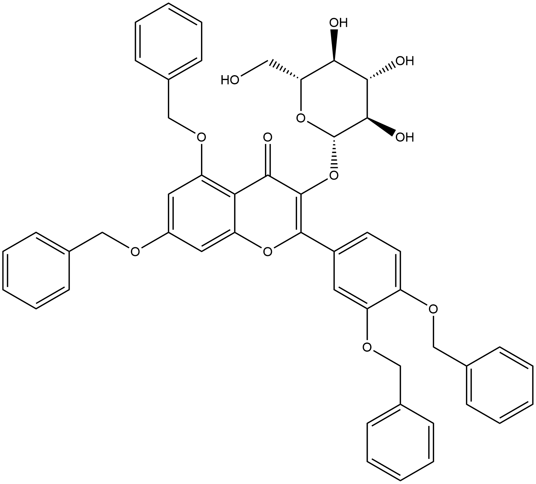
英文名称 4H-1-Benzopyran-4-one, 2-[3,4-bis(phenylmethoxy)phenyl]-3-(β-D-glucopyranosyloxy)-5,7-bis(phenylmethoxy)-
CAS 1332833-27-8
分子式 C49H44O12
分子量 824.87
MOL 文件 1332833-27-8.mol
1332833-27-8 结构式 1332833-27-8 结构式

基本信息

英文别名
4H-1-Benzopyran-4-one, 2-[3,4-bis(phenylmethoxy)phenyl]-3-(β-D-glucopyranosyloxy)-5,7-bis(phenylmethoxy)-

物理化学性质

沸点1007.6±65.0 °C(Predicted)
密度1.42±0.1 g/cm3(Predicted)
酸度系数(pKa)12.74±0.70(Predicted)

常见问题列表

概述
TcNTPDase1-IN-1 (compound 16) 是克氏锥虫体外核苷三磷酸二磷酸水解酶 1 (TcNTPDase1) 抑制剂。TcNTPDase1-IN-1 可用于抗菌、抗毒和抗肿瘤相关研究。
"1332833-27-8" 相关产品信息