你好!欢迎来到ChemicalBook。
登录
注册
退出
我的ChemicalBook
发布产品
产品管理
发布供应信息
黄金产品设置
大货产品设置
直通车产品设置
发布供应信息
结构式搜索
返回ChemicalBook首页
>
CAS数据库列表
>1350456-64-2
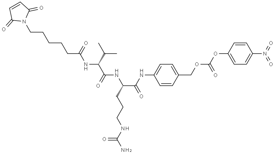
1350456-64-2
英文名称
NA
CAS
1350456-64-2
分子式
C35H43N7O11
分子量
737.76
MOL 文件
1350456-64-2.mol
1350456-64-2 结构式
基本信息
物理化学性质
常见问题列表
物理化学性质
沸点
1034.471±65.00 °C(Press: 760.00 Torr)(predicted)
密度
1.338±0.06 g/cm3(Temp: 25 °C; Press: 760 Torr)(predicted)
酸度系数(pKa)
13.244±0.70(predicted)
常见问题列表
概述
MC-D-Val-Cit-PAB-PNP 是一种活性分子-接头-配体偶联物。MC-D-Val-Cit-PAB-PNP 可用于癌症、自身免疫疾病和传染病的研究。
"1350456-64-2"
相关产品信息