136849-15-5
中文名称
环胺磺隆
英文名称
Cyclosulfamuron
CAS
136849-15-5
分子式
C17H19N5O6S
分子量
421.43
MOL 文件
136849-15-5.mol
更新日期
2024/08/01 09:41:24
136849-15-5 结构式
基本信息
中文别名
金秋环磺隆
环胺磺
环磺胺
环胺磺隆
环丙嘧磺隆
环磺胺嘧啶
甲醇中环丙嘧磺隆标准品
环丙嘧磺隆,1000PPM
环丙嘧磺隆,环胺磺隆 标准品
英文别名
InvestSAVIOUR
JIN-QUI
AC 322140
Cyclosulfamuro
CYCLOSULFAMURON
Jin-Qiu Herbicide
CYCLOSULFAMURON STANDARD
cyclosulfamuron (pa iso, ansi)
Cyclosulfamuron solution,1000ppm
所属类别
农药: 除草剂: 脲类除草剂物理化学性质
外观性状纯品为灰色固体。熔点160.9~162.9℃,蒸气压2.2×10-5Pa (20℃),相对密度0.64 (20℃)。在水中溶解度为0.17mg/L (pH=5),6.52mg/L (pH=7),549mg/L (pH=9)。20℃时分配系数(正辛醇/火)lgp为3.36 (pH=3),2.045 (pH=5),1.69 (pH=6), 1.41 (pH=7), 0.7 (pH=8)。常温存放18个月稳定,36℃存放12个月稳定,45℃存放3个月稳定。在水中半衰期为:2.2d (pH=5),5.1d (pH=6),40d (pH=7),91d (pH=8)。pK a5.04。
熔点162.0℃
密度1.532±0.06 g/cm3(Predicted)
储存条件0-6°C
溶解度Solubility in organic solvents (g/l at 20 °C)
Acetone 21.0
Ethyl acetate 5.0
Dichloromethane 50.0
n‐Hexane <0.001
Methanol 1.5
Toluene 1
Acetone 21.0
Ethyl acetate 5.0
Dichloromethane 50.0
n‐Hexane <0.001
Methanol 1.5
Toluene 1
酸度系数(pKa)Dissociation constant (pKa at 20 °C) 5.04
形态neat
水溶解性Solubility in water (g/l at 25 °C): 0.001 (pH 5) 0.003 (pH 6) 0.006 (pH 7) 0.032 (pH 8).
BRN9011949
应用领域
用途1
磺酰脲类除草剂,乙酰乳酸合成酶抑制剂。药剂被杂草吸收后,在植株体内传导,杂草即停止生长,叶色褪绿,一般几星期后完全枯死。用于水稻、小麦、大麦和草坪防除一年生和多年生阔叶杂草及莎草科杂草。如水田多年生水三楼、卵穗荸荠、野荸荠、矮慈姑、萤蔺;一年生异型莎草、繁缕、陌上草、鸭舌草、节节菜以及母草属杂草;麦田苗前处理防除蓝玻璃繁缕、荠菜、药用球果紫堇,一年出山靛、刚毛毛莲菜、阿拉伯婆婆纳等,科季苗后处理防除野欧白芥、虞美人、荠菜、药用球果紫堇、常春藤、婆婆纳等,春季苗后处理防除蓝玻璃繁缕、野欧白芥、荠菜、药用球果紫堇、猪殃殃、卷茎蓼等。对猪殃殃防效尤佳。用于水田在水稻移栽后2~15d施用,剂量45~60g/hm2 ;直播稻田播后12d内施用,剂量为10~40g/hm2 ;麦田苗后处理,使用剂量为25~50g/hm2,春季应用优于秋季,春季后期应用效果优于早春。春季苗后处理时,需用一些植物油作辅助剂,使用剂量为25g/hm2。在秋季苗后施用,剂量为75~100g/hm2。已获我国稻田应用的临时登记。常见问题列表
简介
环丙嘧磺隆(cyclosulfamuron),试验代号BAS710H、AC322140。商品名称Invest、 Jin-Qiu、Orysa、Saviour。其他名称 Ichiyonmaru、金秋。是由美国氰氨公司(现BASF公司)开发的磺酰脲类除草剂。
作用机理
环丙嘧磺隆是支链氨基酸(ALS或AHAS)合成抑制剂乙乳酸合成酶抑制剂。通过抑制必需氨基酸如频氨酸、异亮氨酸的合成起作用,进而停止细胞分裂和植物生长。选择性来源于 植物体内的快速代谢。主要通过植物根系及茎部吸收,传导植物分生组织。环丙嘧磺隆能被杂草根和叶吸收,在植株体内迅速传导,阻碍颁氨酸、异亮氨酸、亮氨酸含成,抑制细胞分裂和生 长,敏感杂草根和叶吸收药剂后,在植株体内传导,幼芽和根迅速停止生长,幼嫩组织发黄,随 后枯死。杂草吸收药剂到死亡有个过程,一般一年生杂草 5~15d:多年生杂草要长一些,有时 施药后杂草仍呈绿色,并未死亡,但已停止生长,失去与作物竞争能力。对 ALS的抑制活性 (ICso,mol/L)环丙嘧磺隆(0.9)远高于苄嘧磺隆(18.9)、氯嘧磺隆(6.9)、咪草烟(11.6)。
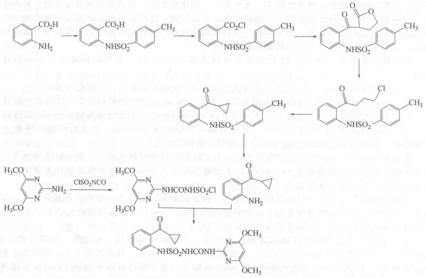
合成方法
环丙嘧磺隆以邻氨基苯甲酸为起始原料,经磺酰化、酰氯化,再与 Y-丁内酯缩合,制得中间
体取代苯胺。嘧啶胺与氯磺酰基异氰酸酯缩合后与取代苯胺反应,处理即得目的物。反应式为:
毒性
大鼠急性经口LD50>5000mg/kg,兔急性经皮LD50>4000mg/kg,大鼠急性吸入LC50>5.2mg/L (4h)。对兔皮肤无刺激性,对兔眼睛有轻度刺激作用。鲤鱼LC50>50mg/L,鳟鱼LC50>7.7mg/L (均72h)。水蚤LC50>9.1mg/L (48h)。野鸭急性经口LD50>1800mg/kg。
