138164-12-2
138164-12-2 结构式
基本信息
中文别名
丁苯草酮丁氧环酮
丁氧环酮 标准品
BUTROXYDIM 标准品
丁氧环酮, 10ΜG/ΜL于环己烷
BUTROXYDIM@100 ΜG/ML IN METHANOL
英文别名
FALCONFenoxydim
BUTROXYDIM
Butroxydim [iso]
butroxydim (bsi, pa e-iso)
ZOGDSYNXUXQGHF-XIEYBQDHSA-N
Butroxydim@100 μg/mL in Methanol
Butroxydim, 10 μg /μL in cyclohexane
5-(3-butyryl-2,4,6-trimethylphenyl)-2-[1-(ethoxyimino)propyl]-3-hydroxycyclohex-2-en-1-one
2-[1-(Ethoxyimino)propyl]-3-hydroxy-5-[2,4,6-trimethyl-3-(1-oxobutyl)phenyl]-2-cyclohexen-1-one
物理化学性质
熔点80.8℃
沸点535.9±60.0 °C(Predicted)
密度1.11±0.1 g/cm3(Predicted)
储存条件0-6°C
酸度系数(pKa)4.18±0.25(Predicted)
常见问题列表
简介
丁苯草酮( butroxydim),商品名称 Falcon,其他名称丁氧环酮。是由捷利康公司开发的环己烯二酮类除草剂。阔叶作物苗后用除草剂,主要用于防除禾本科杂草,使用剂量为25~75g(a.i.)/hm2。
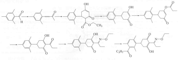
合成方法
以2,4,6-三甲基苯甲酸作为原料,经如下反应可得产物丁苯草酮:
毒性
毒性大鼠急性经口LDso( mg/kg):雌性1635、雄性3476。大鼠急性经皮LD50>2000mg/kg。对兔皮肤无刺激性,对兔眼睛有中度刺激性,对豚鼠皮肤无致敏作用。大鼠急性吸入LC50(4h)>2.99mg/L。ADI 0.025mg/kg。鸟急性经口LD50(mg/kg):野鸭>2000,山齿鹑1221。亚急性饲喂LC50(5d,mg/kg):野鸭>5200,山齿鹑5200。鱼毒 LC50(96h, mg/L):虹缚鱼>6.9,大翻车鱼8.8。水蚤LC50(48h)>3.7mg/L。作用机理
ACCase抑制剂。茎叶处理后经叶迅速吸收,传导到分生组织,在敏感植物中抑制支链脂肪酸和黄酮类化合物的生物合成而起作用,使其细胞分裂遭到破坏,抑制植物分生组织的活性,使植株生长延缓。在施药后1~3周内植株褪绿坏死,随后叶干枯而死亡。


