返回ChemicalBook首页>CAS数据库列表>1403753-45-6

1403753-45-6

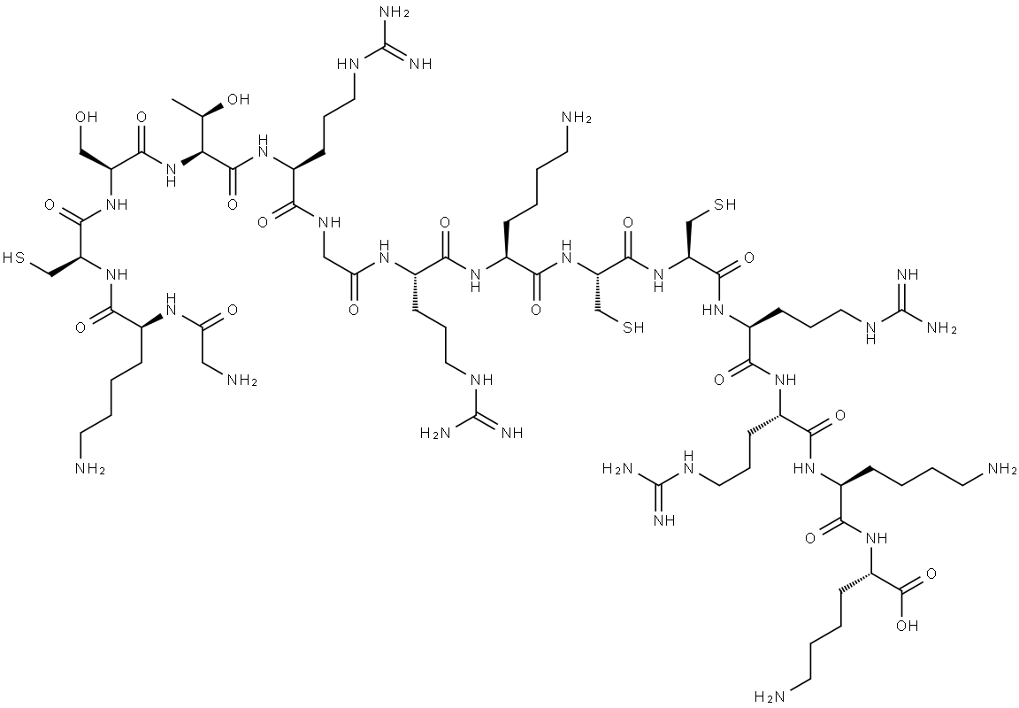
中文名称 合成抗炎肽Synthetic anti-inflammatory peptide 15
英文名称 L-Lysine, glycyl-L-lysyl-L-cysteinyl-L-seryl-L-threonyl-L-arginylglycyl-L-arginyl-L-lysyl-L-cysteinyl-L-cysteinyl-L-arginyl-L-arginyl-L-lysyl-
CAS 1403753-45-6
分子式 C68H131N31O18S3
分子量 1767.17
MOL 文件 1403753-45-6.mol
1403753-45-6 结构式 1403753-45-6 结构式

基本信息

中文别名
合成抗炎肽Synthetic anti-inflammatory peptide 15
英文别名
L-Lysine, glycyl-L-lysyl-L-cysteinyl-L-seryl-L-threonyl-L-arginylglycyl-L-arginyl-L-lysyl-L-cysteinyl-L-cysteinyl-L-arginyl-L-arginyl-L-lysyl-

物理化学性质

密度1.55±0.1 g/cm3(Temp: 20 °C; Press: 760 Torr)(predicted)
序列Gly-Lys-Cys-Ser-Thr-Arg-Gly-Arg-Lys-Cys-Cys-Arg-Arg-Lys-Lys

常见问题列表

概述
合成抗炎肽Synthetic anti-inflammatory peptide 15 是一种由人类 β-防御素3 设计的 15 个氨基酸组成的合成抗炎肽。SAP15 具有穿透细胞的能力,并能够诱导细胞内炎症的下调。SAP15 通过抑制 HDAC5 的磷酸化,从而减少 NF-κB p65 的磷酸化,进而抑制炎症反应。在 LPS 诱导的巨噬细胞中,SAP15 能够抑制 HDAC5 和 NF-κB p65 的磷酸化。此外,SAP15 处理增加了 LPS 诱导的软骨细胞中 aggrecan 和 II 型胶原的表达,并减少了骨钙素的表达。SAP15 可用于生物材料的炎症调节和抗炎治疗的研究。
"1403753-45-6" 相关产品信息
335080-41-6 2407100-74-5 2757292-12-7 103659-06-9 155575-02-3