1416881-52-1
中文名称
2,4,5,6-四(9-咔唑基)-间苯二腈
英文名称
4CzIPN
CAS
1416881-52-1
分子式
C56H32N6
分子量
788.89
MOL 文件
1416881-52-1.mol
更新日期
2025/12/24 08:43:08
1416881-52-1 结构式
基本信息
中文别名
2,4,5,6-四咔唑基-1,3-苯二腈2,4,5,6-四(9-咔唑基)-间苯二
2,4,5,6-四(9-咔唑基)-间苯二腈
2,4,5,6-四(9H-咔唑-9-基)异酞腈
2,4,5,6-四(9-咔唑基)-间苯二腈 1G
2,4,5,6-四(9-咔唑基)-1,3-苯二腈
2,4,5,6-四(9H-咔唑-9-基)间苯二甲腈
英文别名
4CzIPN4CzIPN ISO 9001:2015 REACH
2,4,5,6-tetrakis(carbazol-9-yl)-1,3-dicyanobenze
2,4,5,6-Tetra(9H-carbazol-9-yl)isophthalonitrile
1,2,3,5-Tetrakis(carbazol-9-yl)-4,6-dicyanobenzene
2,4,5,6-tetrakis(carbazol-9-yl)-1,3-dicyanobenzene
(4s,6s)-2,4,5,6-tetra(9H-carbazol-9-yl)isophthalonitrile
2,4,5,6-Tetra-9H-carbazol-9-yl-1,3-benzenedicarbonitrile
(4r,6r)-2,4,5,6-tetra(9H-carbazol-9-yl)isophthalonitrile
4CzIPN(2,4,5,6-tetra(9H-carbazol-9-yl)isophthalonitrile)
所属类别
医药中间体:OLED材料中间体物理化学性质
密度1.32±0.1 g/cm3(Predicted)
储存条件Amber Vial, Refrigerator
溶解度DMSO(轻微)、甲醇(轻微、加热、超声处理)
形态固体
颜色淡黄色至深黄色
稳定性感光
Absorptionλmax?365 nm in acetonitrile
Fluoresceneλem?551 nm in acetonitrile
概述Out of its three isomers, 4CzIPN has the highest photo-luminescence quantum efficiency (PLQY) of above 90%. This is due to the?wide dispersion the highest-occupied molecular orbital (HOMO) over the donor moieties. Relatively short excited-state lifetime of delayed emission was reported. Additionally, higher external quantum efficiency (EQE) was observed by using 4CzIPN as an emitter in TADF-OLED devices.
气味 (Odor)橙黄色粉末/结晶
熔点TGA: >300 °C?(0.5% weight loss)
常见问题列表
化学性质
2,4,5,6-四(9-咔唑基)-间苯二腈在常温常压下为浅黄色固体,不溶于水,可溶于有机溶剂如乙醇、二甲基甲酰胺和氯仿等。其可被氧化剂氧化,如硝酸、高锰酸钾等。
用途
2,4,5,6-四(9-咔唑基)-间苯二腈(4CzIPN)是一种荧光材料分子,常用作有机光催化剂,多用于有机化学中的光化学反应。此外,其还可以用作母体化合物,用于合成其他的有机光催化剂。
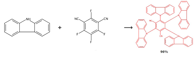
合成方法
在一个干燥的反应器中,将氢化钠(用己烷洗涤)(500毫克,12.5毫摩尔,10当量)加入卡巴唑(1.05克)在干燥四氢呋喃中的溶液里。搅拌所得的反应混合物30分钟,然后向该混合物中加入250毫克四氟间苯二腈,继续搅拌反应混合物若干个小时。反应完成后,用水淬灭反应混合物,然后直接将反应混合物过滤,最后通过柱色谱法纯化产品得2,4,5,6-四(9-咔唑基)-间苯二腈。
