144740-54-5
144740-54-5 结构式
基本信息
氟啶嘧磺隆 钠
氟嘧磺隆甲基钠
氟啶嘧磺隆甲酯钠盐 标准品
2-[(4,6-二甲氧基嘧啶-2-基氨基甲酰基)氨磺酰]-6-(三氟甲基)烟酸 钠盐
FLUPYRSULFURON-METHYL SODIUM
flupyrsulfuron-methyl,sodiumsalt
Flupyrsulfuron-methyl-sodium [iso]
flupyrsulfuron-methyl-sodium (bsi, pa iso)
[(4,6-Dimethoxypyrimidin-2-yl)carbamoyl]({[3-(methoxycarbonyl)-6-(trifluoromethyl)pyridin-2-yl]sulfonyl})azanide
flupyrsulfuron-methyl-sodium (ISO) methyl 2-[[(4,6-dimethoxypyrimidin-2-ylcarbamoyl)sulfamoyl]-6-trifluoromethyl]nicotinate, monosodium salt
物理化学性质
environmental
安全数据
Aquatic Chronic 1
常见问题列表
氟啶嘧磺隆纯品为具刺激性气味的白色粉状固体,熔点165~170℃(分解),相对密度1.55(19.3℃)。分配系数Kow lgP(20℃):0.96(pH 5),0.10(pH 6)。Henry常数(20℃,Pa·m3/mol):<1×10-8(pH5),<1×10-9(pH 6)。水中溶解度(20℃ , mg/L):62.7(pH 5),603(pH 6);其他溶剂中溶解度(20℃ ,g/L):二氯甲烷0.60,丙酮3.1,乙酸乙酯0.49,乙腈4.3,正已烷<0.001,甲醇5.0。稳定性:在大多数溶剂中稳定;DT50:44d(pH 5),12d(pH 7),0.42d(pH 9)。pKa 4.9。
氟啶密磺隆与其他磺酰脲类除草剂一样,是乙酰乳酸合成酶(ALS)抑制剂。通过杂草根和叶吸收,在植株体内传导,杂草即停止生长,而后枯死。
大鼠急性经口 LD50>5000mg/kg,兔急性经皮LD50>2000mg/kg。对兔眼睛和皮肤无刺激性。对豚鼠的皮肤无致敏。大鼠吸入LC50(4h)>5.8mg/L。NOEL数据( mg/L): (18个月)雄小鼠25[3.51mg/(kg·d)],雌小鼠250[52.4mg/(kg·d)];(90d)大鼠2000[雄鼠124mg/(kg·d)],雌鼠154mg/(kg·d)];(2y)大鼠350[雄鼠14.2,雌鼠20.0mg/(kg·d)];(ly)雄性狗>5000[146.3mg/( kg·d)],雌性狗500[13.6mg/( kg·d)]。ADI( EC)0.035mg/kg[2001]。无致突变性,无遗传毒性。
氟啶咤磺隆为具有广谱活性的苗后除草剂。适宜作物为禾谷类作物如小麦、大麦等。对禾谷类作物安全。对环境无不良影响。因其降解速度快,无论何时施用,对下茬作物都很安全。主要用于防除部分重要的禾本科杂草和大多数的阔叶杂草如看麦娘等。使用剂量为10g( a.i. ) /hm2[亩用量为0.67g( a.i.)。
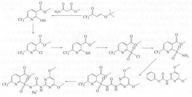
以4-叔丁氧基-1,1,1-三氟-3-丁烯-2-酮和丙二酸甲酯单酰胺为起始原料,经合环、氯化、颈基化、氯磺化、氨化制得中间体磺酰胺,最后与二甲氧基密啶氨基甲酸苯酯反应,制得目的物。反应式为:
