1493802-77-9
中文名称
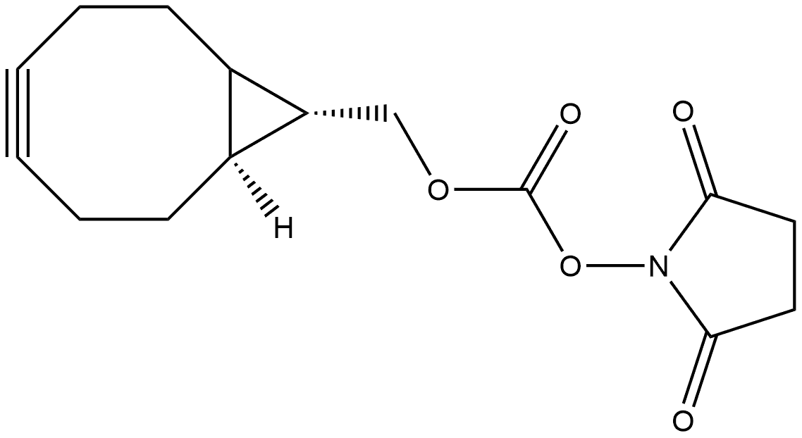
REL-((1R,8S,9R)-双环[6.1.0]壬-4-炔-9-基)甲基 (2,5-二氧代吡咯烷-1-基)碳酸酯
英文名称
exo-BCN-NHS carbonate
CAS
1493802-77-9
分子式
C15H17NO5
分子量
291.3
MOL 文件
1493802-77-9.mol
更新日期
2026/04/13 11:35:51
1493802-77-9 结构式
基本信息
中文别名
REL-((1R,8S,9R)-双环[6.1.0]壬-4-炔-9-基)甲基 (2,5-二氧代吡咯烷-1-基)碳酸酯 英文别名
exo-BCN-NHS carbonaterel-((1R,8S,9r)-Bicyclo[6.1.0]non-4-yn-9-yl)methyl (2,5-dioxopyrrolidin-1-yl) carbonate
3-(((1S)-bicyclo[6.1.0]non-4-yn-9-yl)methyl)-2,5-dioxopyrrolidin-1-yl hydrogen carbonate
Carbonic acid, (1α,8α,9α)-bicyclo[6.1.0]non-4-yn-9-ylmethyl (2,5-dioxo-1-pyrrolidinyl) ester, rel-
Carbonic?acid,?(1α,8α,9α)-bicyclo[6.1.0]non-4-yn-9-ylmethyl?(2,5-dioxo-1-pyrrolidinyl)?ester,?rel-
