返回ChemicalBook首页>CAS数据库列表>162922-31-8

162922-31-8

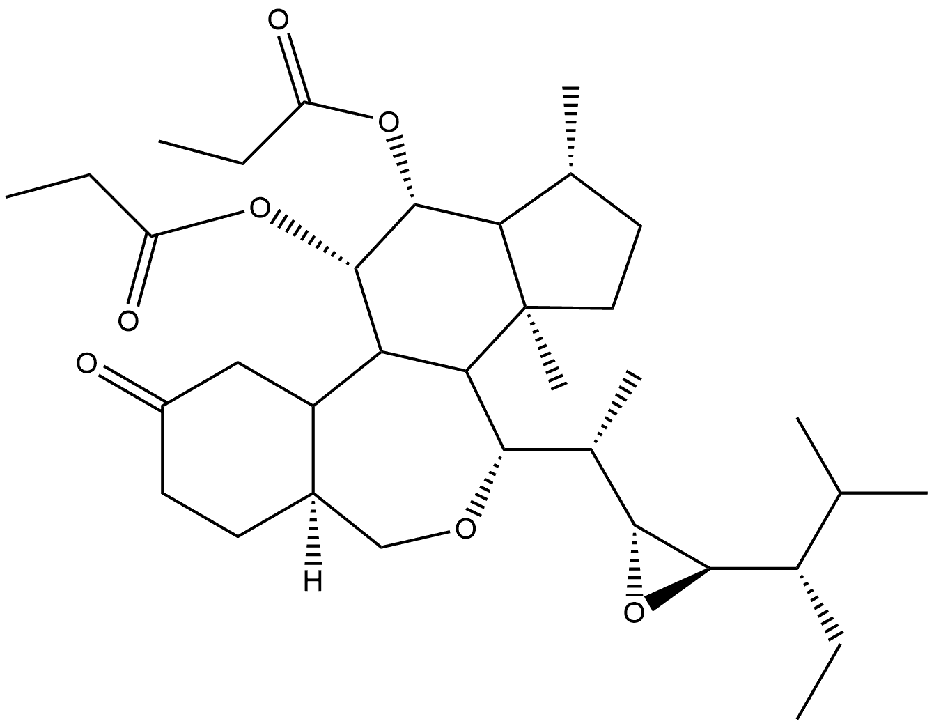
中文名称 Epocholeone
英文名称 Epocholeone
CAS 162922-31-8
分子式 C35H56O7
分子量 588.81
MOL 文件 162922-31-8.mol
更新日期 2026/02/10 14:37:51
162922-31-8 结构式 162922-31-8 结构式

基本信息

中文别名
爱增美
化合物 EPOCHOLEONE
英文别名
Epocholeone
PubChem ID: 14839163
6H-Benz[c]indeno[5,4-e]oxepin-6-one, 1-[(1S)-1-[(2R,3R)-3-[(1S)-1-ethyl-2-methylpropyl]oxiranyl]ethyl]hexadecahydro-10a,12a-dimethyl-8,9-bis(1-oxopropoxy)-, (1R,3aS,3bS,6aS,8S,9R,10aR,10bS,12aS)-

物理化学性质

沸点642.9±55.0 °C(Predicted)
密度1.11±0.1 g/cm3(Predicted)
形态Solid
颜色White to off-white
InChIKeyOMYBRZJKSPGJCV-ZKGGWWTQSA-N
SMILESO1[C@@H]([C@@H]([C@@H]2[C@@H]([C@@H](CC)C(C)C)O2)C)C2[C@@]3(C)C([C@H](C)CC3)[C@@H](OC(=O)CC)[C@@H](OC(=O)CC)C2C2CC(=O)CC[C@]2([H])C1

常见问题列表

概述
丙酰芸苔素内酯 是一种生长调节剂。Epocholeone 能防治作物的真菌或生理性病害。
"162922-31-8" 相关产品信息