169448-87-7
中文名称
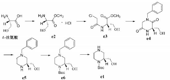
(R)-1-BOC-2-羟甲基哌嗪
英文名称
(R)-1-N-Boc-2-(hydroxymethyl)piperazine
CAS
169448-87-7
分子式
C10H20N2O3
分子量
216.28
MOL 文件
169448-87-7.mol
更新日期
2026/05/06 09:02:12
169448-87-7 结构式
基本信息
中文别名
R-1-BOC-2-羟甲基-呱嗪(R)-1-BOC-2-羟甲基哌嗪
(R)-2-羟甲基哌嗪-1-甲酸叔丁酯
英文别名
Nicotinamide Impurity 202(R)-1-Boc-2-Hydroxymethyl-piperazine
(R)-1-Boc-2-(hyroxyMethyl)piperazine
(R)-1-N-BOC-2-HYDROXYMETHYLPIPERAZINE HCl
(S)-1-Boc-2-Hydroxymethyl-piperazine ,98%
(R)-1-Boc-2-Hydroxymethyl-piperazine ,98%
(R)-tert-Butyl 2-(hydroxymethyl)piperazine-1-carboxylate
tert-butyl (R)-2-(hydroxymethyl)piperazine-1-carboxylate
tert-Butyl (2R)-2-(hydroxymethyl)piperazin-1-carboxylate
tert-Butyl (2R)-2-(hydroxymethyl)piperazine-1-carboxylate
所属类别
医药中间体:杂环化合物物理化学性质
沸点324.0±17.0 °C(Predicted)
密度1.085±0.06 g/cm3(Predicted)
储存条件Keep in dark place,Sealed in dry,2-8°C
酸度系数(pKa)14.97±0.10(Predicted)
外观White to off-white Solid
旋光度 (Optical Rotation)Consistent with structure
InChIInChI=1S/C10H20N2O3/c1-10(2,3)15-9(14)12-5-4-11-6-8(12)7-13/h8,11,13H,4-7H2,1-3H3/t8-/m1/s1
InChIKeyBCPPNDHZUPIXJM-MRVPVSSYSA-N
SMILESN1(C(OC(C)(C)C)=O)CCNC[C@@H]1CO


