你好!欢迎来到ChemicalBook。
登录
注册
退出
我的ChemicalBook
发布产品
产品管理
发布供应信息
黄金产品设置
大货产品设置
直通车产品设置
发布供应信息
结构式搜索
返回ChemicalBook首页
>
CAS数据库列表
>171336-24-6
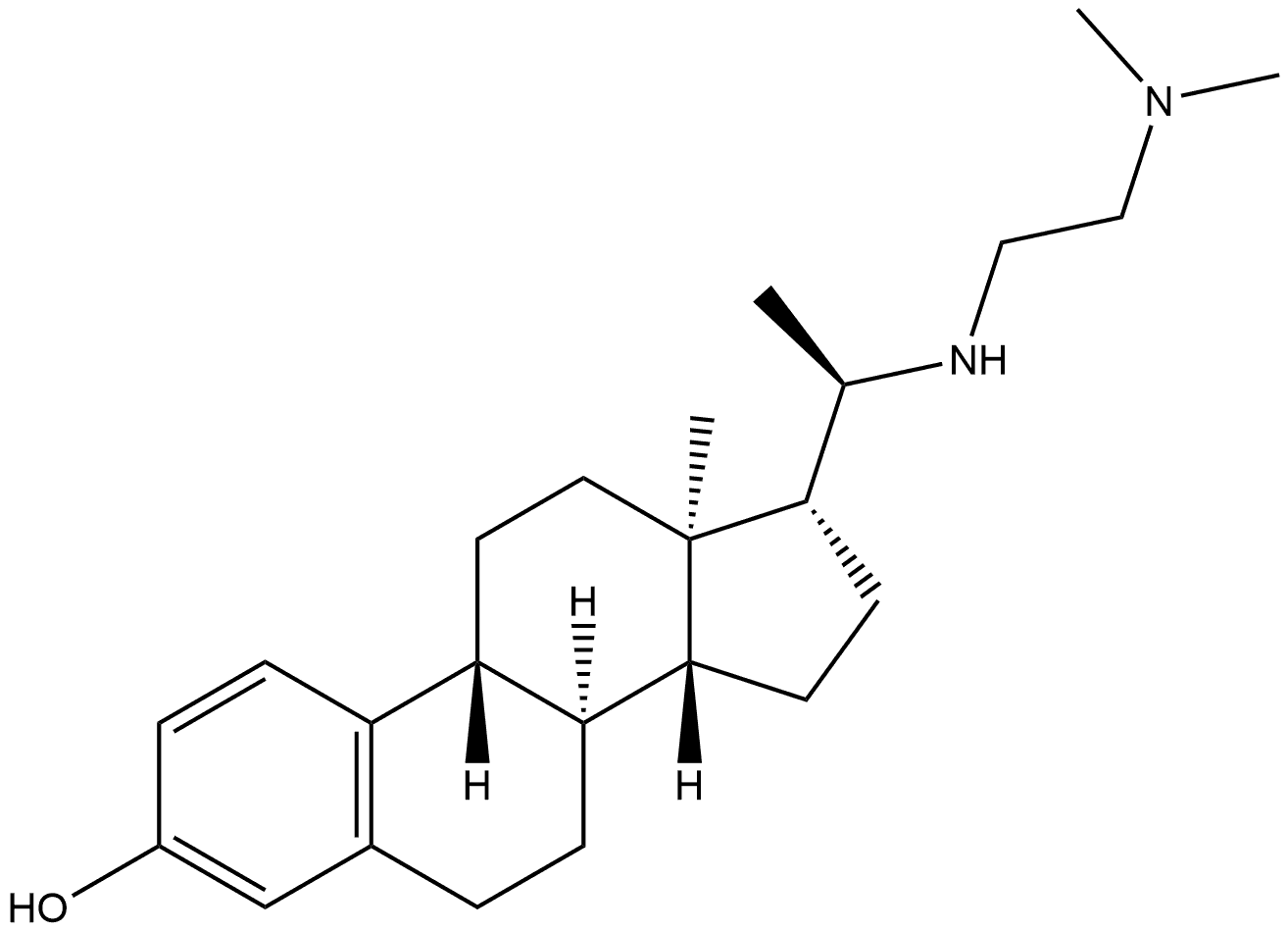
171336-24-6
中文名称
RU1968
英文名称
RU1968
CAS
171336-24-6
171336-24-6 结构式
基本信息
基本信息
英文别名
RU1968
"171336-24-6"
相关产品信息