返回ChemicalBook首页>CAS数据库列表>174641-44-2

174641-44-2

中文名称 604141/300185
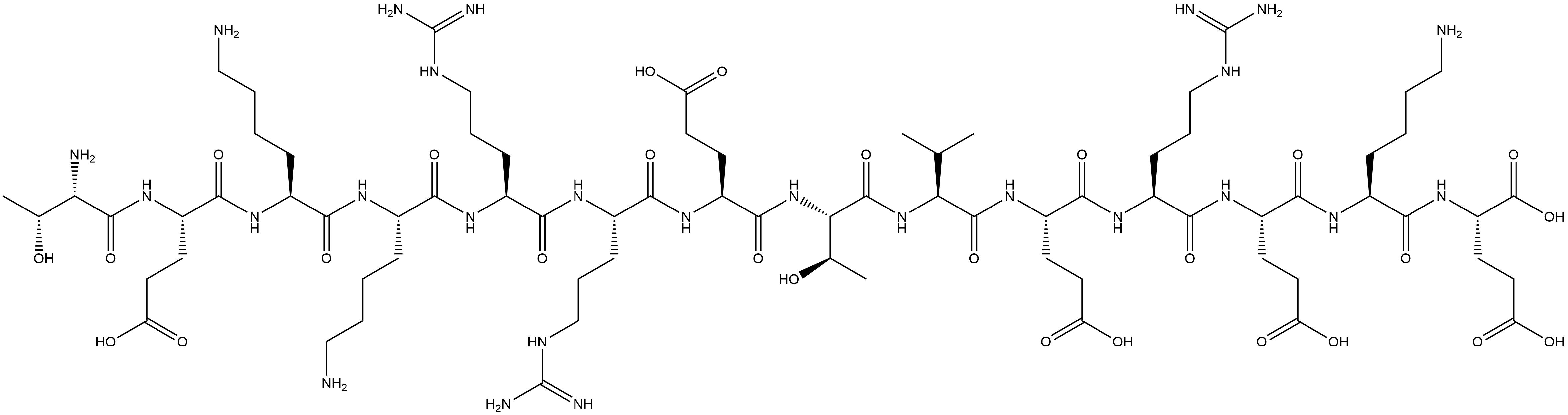
英文名称 L-Glutamic acid, L-threonyl-L-α-glutamyl-L-lysyl-L-lysyl-L-arginyl-L-arginyl-L-α-glutamyl-L-threonyl-L-valyl-L-α-glutamyl-L-arginyl-L-α-glutamyl-L-lysyl-
CAS 174641-44-2
分子式 C74H132N26O27
分子量 1818
MOL 文件 174641-44-2.mol
更新日期 2026/05/21 17:28:02
174641-44-2 结构式 174641-44-2 结构式

基本信息

中文别名
604141/300185
可口服多肽HUMAN EZRIN PEPTIDE (324-337)
英文别名
L-Glutamic acid, L-threonyl-L-α-glutamyl-L-lysyl-L-lysyl-L-arginyl-L-arginyl-L-α-glutamyl-L-threonyl-L-valyl-L-α-glutamyl-L-arginyl-L-α-glutamyl-L-lysyl-

物理化学性质

密度1.54±0.1 g/cm3(Predicted)
形态Solid
颜色White to off-white
序列Thr-Glu-Lys-Lys-Arg-Arg-Glu-Thr-Val-Glu-Arg-Glu-Lys-Glu

常见问题列表

概述
HEP-1 (Human ezrin peptide (324-337)) 是一种可口服的多肽,具有抗 HIV 活性。HEP-1 可以增强乙型肝炎疫苗接种产生的抗体滴度。HEP-1 有研究抗病毒感染的潜力。
"174641-44-2" 相关产品信息