1820573-27-0
1820573-27-0 结构式
基本信息
Β-氟氯氰菊酯
Β-氟氯氰菊酯/高效氟氯氰菊酯
Cyclopropanecarboxylic acid, 3-(2,2-dichloroethenyl)-2,2-dimethyl-, (R)-cyano(4-fluoro-3-phenoxyphenyl)methyl ester, (1S)-rel-
beta-cyfluthrin (ISO): reaction mass of rel-(R)-cyano(4-fluoro-3-phenoxyphenyl)methyl (1S,3S)-3-(2,2-dichloroethenyl)-2,2-dimethylcyclopropane-1-carboxylate and rel-(R)-cyano(4-fluoro-3-phenoxyphenyl)methyl (1S,3R)-3-(2,2-dichloroethenyl)-2,2-dimethylcyclopropane-1-carboxylate (ratio 1:2)
物理化学性质
environmental
安全数据
very toxic hazardous materials
Acute Tox. 2 Oral
Aquatic Acute 1
Aquatic Chronic 1
Lact.
STOT SE 1
常见问题列表
高效氟氯氰菊酯是一种具有特殊气味的棕色晶体,工业品为有轻微气味的白色粉末,其以粉末或颗粒与空气混合,可能发生粉尘爆炸。熔点:(Ⅱ)81℃, (IV)106℃。分解温度>210℃。蒸气压(20℃):(Ⅱ)1.4X10-5mPa,(IV)8.5X10-5mPa。 KowlgP(20℃):(Ⅱ)5.9,(IV)5.9。Henry 常数(20℃,Pa·m3/mol):3.2X10-3(Ⅱ),1.3X 10-2(IV)。密度为1.34g/cm3(22℃);水中溶解度(20℃,pH 7μg/L):(Ⅱ)1.9,(V)2.9;(Ⅱ) 在其他溶剂中溶解度(20℃,g/L):正已烷 10~20,异丙醇5~10。在 pH4、7时稳定,pH9时迅速分解。
高效氟氯氰菊酯(beta-cyfluthrin),试验代号 FCR4545(Bayer)、0MS3051。商品名称 Bat-
nook、Bulldock、Responsar、 Chinook、Enduro、 Monarca、 Temprid、Modesto、 Baythroid XL
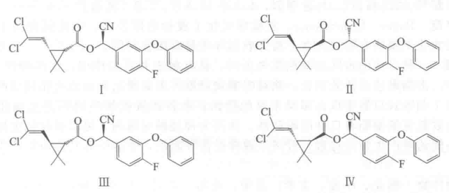
Beta-Baythroid、Cajun、Ducat、Full。是拜耳公司开发的拟除虫菊酯类杀虫剂。它含有两对对应异构体,分别为Ⅰ、Ⅱ、Ⅲ和Ⅳ,其结构式如下。工业品中Ⅰ含量<2%,Ⅱ含量为30%~40%,Ⅲ含量<3%,Ⅳ含量为53%~67%.
(1)适用作物包括棉花、小麦、玉米、蔬菜、番茄、苹果、柑橘、葡萄、油菜、大豆、烟草
观赏植物等。
棉铃虫、棉红铃虫、菜青虫、桃小食心虫、金纹细蛾、小麦蚜虫、甜菜夜。
(2)防治对象包括蛾、
黏虫、玉米螟、
葡萄果囊蛾、马铃薯甲虫、蚜虫、烟青虫等
高效氟氯氰菊酯是一种合成的拟除虫菊酯类杀虫剂,具有触杀和胃毒作用,无内吸作用和渗透性。它具有杀虫谱广,击倒迅速,持效期长,除对咀嚼式口器害虫如鳞翅目幼虫或鞘翅目的部分甲虫有效外,还可用于刺吸式口器害虫,如梨木虱的防治。若将药液直接喷洒在害虫虫体上,防效更佳。植物对它有良好的耐药性。该药为神经轴突毒剂,可以引起昆虫极度兴奋、痉 挛与麻痹,还能诱导产生神经毒素,最终导致神经传导阻断,也能引起其他组织产生病变。
高效氟氯氰菊酯可由 3-苯氧基-4-氟苯甲醛与二氯菊酰氯反应而得,关键是3-苯氧基
4-氟苯甲醛的制备。3-苯氧基-4-氟苯甲醛的制备有三条路线:
(1)以氟苯为原料
(2)以对甲苯胺为原料
(3)以对氯甲苯为原料
高效氟氯氰菊酯的合成:
急性经口LD50(mg/kg):大鼠380(在聚乙二醇中),211(在二甲苯中);雄小鼠91,雌小鼠165。大鼠急性经皮 LD50(24h)>5000mg/kg。对皮肤无刺激,对免眼睛有轻微刺激,对豚鼠皮肤无致敏。大鼠吸入 LC50(4h,mg/L):0.1(气雾),0.53(粉尘)。NOEL(90d,mg/kg饲 料):大鼠125,狗60。ADI:(JMPR)0.04mg/kg[2006,2007];(EC)0.003mg/kg[2003]; (Bayer)0.02mg/kg 1994]。
Target: Ca 2+ ATPase

