182133-25-1
182133-25-1 结构式
基本信息
中文别名
阿佐昔芬LY353381
SERM III
3-[(4-{[2-(六氢吡啶-1-基)乙基]氧基}苯基)氧基]-2-(4-甲氧基苯基)苯并[B]噻吩-6-酚
阿佐昔芬。3-[(4-{[2-(六氢吡啶-1-基)乙基]氧基}苯基)氧基]-2-(4-甲氧基苯基)苯并[B]噻吩-6-酚
英文别名
SERMIIIARZOXIFENE
2-(4-methoxyphenyl)-3-[4-(2-piperidin-1-ylethoxy)phenoxy]-1-benzothiophen-6-ol
2-(4-Methoxyphenyl)-3-[4-[2-(1-piperidinyl)ethoxy]phenoxy]benzo[b]thiophene-6-ol
Benzo[b]thiophene-6-ol, 2-(4-Methoxyphenyl)-3-[4-[2-(1-piperidinyl)ethoxy]phenoxy]-
3-[(4-{[2-(hexahydropyridin-1-yl)ethyl]oxy}phenyl)oxy]-2-(4-methoxyphenyl)benzo[b]thiophen-6-ol
常见问题列表
背景及概述
选择性雌激素受体调节剂(SERMs)对雌激素受体(ER)具高亲和性,可产生组织选择性激动或拮抗作用,其模拟雌激素对骨组织和血清脂质的作用,但并不拮抗雌激素对乳腺和子宫的刺激作用,因此可用于治疗雌激素依赖性疾病,如骨质疏松症、乳腺癌及一些妇科疾病。目前研究的SERMs主要4类:三苯乙烯类(如他莫昔芬、托瑞米芬、屈洛昔芬和艾多昔芬)、苯并噻吩类(如雷洛昔芬)、萘类(如萘福昔定)和苯并吡喃类(如奥美昔芬)。其中雷洛昔芬是最常用药物,通过激活或阻断组织雌激素受体而发挥组织特异的雌激素样作用。雷洛昔芬主要作用于骨组织和脂代谢,而对子宫内膜和乳腺组织无刺激效应,因而不增加子宫内膜和乳腺癌发病风险,临床前期资料显示它甚至有预防乳癌作用。雷洛昔芬增加HDL2(最具心脏保护作用的HDL成分)的同时,尚降低甘油三酯水平,这是它优于传统HRT的又一个特点。但雷洛昔芬不能治疗血管舒缩症状及泌尿生殖道萎缩,因而不是治疗早期绝经症状的理想药物。雷洛昔芬还可能增加血栓发生风险。阿佐昔芬(arzoxifene,LY353381)是美国礼来公司继雷洛昔芬之后开发的第三代选择性雌激素受体调节剂,对乳腺卵巢和子宫内膜的雌激素受体具有强拮抗活性;也可以使正常或低骨量的绝经后女性的腰椎和全髋骨矿物质密度增加,主要用于防治骨质疏松症和预防乳腺癌。研究显示,本品可致正常或低骨量的绝经后妇女其腰椎和全髋骨矿物质密度(BMD)增加,在20 mg/d-剂量下可致受试者体内骨转换的生化标志物水平降低。
作用机制研究
ER 结合实验显示,阿佐昔芬的相对结合亲和力为0.5,17β-炔雌二醇则为 1.0。而体内外实验均表明,阿佐昔芬的ER结合活性比雷洛西芬更强。体外实验显示,阿昔佐芬对雌激素刺激的人MCF -7 乳腺癌细胞增殖的抑制作用与雷洛昔芬相当(I C50 = 0.30nmol•L-1和0.37 nmol•L-1)。一项 neu 基因介导大鼠乳腺癌发生模型实验评价了本品的化学预防作用,雌性大鼠在被输注neu基因逆转录病毒载体(造模)后第 2 天,分别经本品(20 mg•d-1)或他莫昔芬(2mg•d-1)治疗或卵巢切除,并于造模后第 13 周检测肿瘤的发生。结果,未接受治疗和未切除卵巢的对照大鼠平均每只体内发现 13.9 个肿瘤灶,而分别接受本品或他莫昔芬治疗及卵巢切除的大鼠平均每只体内发现有3.5、8.4及4.5个;本品组大鼠的体重无明显变化,表明本品毒性很低。
药理作用
绝经女性中常见的体重增加、子宫肥大、胆固醇升高、骨质丢失等症状都是雌激素水平下降的表现 。大鼠模型实验研究发现,经口给予阿佐昔芬,可有效抑制卵巢切除所致体重增加、胆固醇升高及骨质丢失,其ED50分别为1、20~30 及10 μg/kg/d;经口给予本品30μg/k /d也可防止17α-炔雌二醇所致的子宫肥大,因此本品对子宫的刺激作用较其他大多数 SERM s 更小;与雷洛西芬相比,本品的 SERM活性强 30~100 倍,而对子宫的雌激素拮抗作用相当或更低;与雷洛昔芬一样,本品具雌激素样抗骨吸收作用,可与17α-炔雌二醇等效地抑制卵巢切除大鼠绝经后骨质疏松症模型的骨吸收,但对新骨生成的抑制作用较弱;本品抑制卵巢切除大鼠骨质丢失的ED 50为10μg/kg/d(po),与甲状旁腺激素P TH单用或和雌激素或雷洛芬联用相比,本品与PTH 联用可更快速地致动物模型骨量增加,且在停用 PTH后,本品仍可抑制骨质的快速丢失;通过饮食给予本品 20或 60μg/kg,可致亚硝基甲脲诱导的乳腺癌模型大鼠的癌症发生率降至 8%,而对照组为 88%,即使给药剂量低至0.6 mg•kg-2,仍可达到类似他莫昔芬的显著防癌功效;本品对卵巢切除大鼠的子宫内膜或子宫无刺激作用,说明其对子宫无毒性作用。异种移植瘤裸鼠模型实验显示,在相同剂量下,本品可较他莫昔芬雷洛西芬、屈洛昔芬和吲哚昔芬更有效地抑制人乳腺癌的发展。
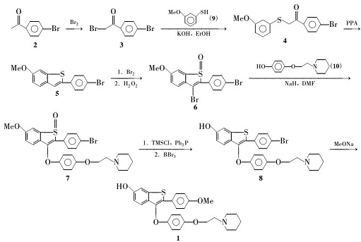
合成路线
以4-溴苯乙酮(2)为起始原料,经溴化与9缩合分子内环合得6-甲氧基-2-( 4-溴苯基) 苯并[b]噻吩(5);5经溴化氧化反应后,与4-[2-( 1-哌啶基) 乙氧基]苯酚(10)缩合制得关键中间体3-{4-[2-( 1-哌啶基) 乙氧基]苯氧基}-6-甲氧基-2-( 4-溴苯基) 苯并[b]噻吩亚砜(7);7再经还原脱甲基甲氧基化反应合成了1,总收率24.3%,其结构经1HNMR和EI-MS确证,具体反应过程如下:

药代动力学
对雌性短尾猴经口给予阿佐芬,吸收良好,血药浓度在 3 小时后达峰值,本品及其主要代谢产物 LY-335563 主要经粪便排泄,其尿液中排泄量小于 2%, 本品在大鼠体内的药动学与之相似。一项在 24 名绝经后妇女中进行的随机、安慰剂、双盲、交叉临床试验中,本品经多剂量(5、10、25 或 100 mg/d,po)给药后,表现出线性药动学特征,其29天的治疗显示出良好的安全性及耐受性,本品及其活性代谢产物 LY-335563的血浆浓度相对稳定;25和100 mg/d剂量组的稳态AUC 值分别为83.6 和285μg/h/L,t1/2值分别为48.37 和47. 60 h。一项在 11名健康的绝经后女性中进行的开标记临床试验评价了多剂量奎尼丁(82.5 mg,bid,持续7天)或单剂量地昔帕明(75mg)对单剂量本品(100mg)药动学的影响,结果显示,尽管奎尼丁是 CYP 2D6 抑制剂,但并不影响本品的药动学,而地昔帕明虽也不明显影响本品的药动学,但二药联用导致地昔帕明的Cmax及AUC 分别降低14%及27 %,不过并未降低地昔帕明的消除率。适应症
用于防治骨质疏松症和预防乳腺癌。临床研究
早期的临床研究表明,阿佐昔芬可致受试者体内睾酮、去氢表雄酮(DHEA)、卵泡刺激素(FSH)、胰岛素样生长因子- 1(IGF- 1)和其主要结合蛋白IGFBP-3 以及骨钙素水平明显降低,提示其可降低乳腺癌标志物水平和抑制骨转换。Lilly 公司近公布了计划中的3项本品关键性Ⅲ期临床试验中的2 项试验结果。第1 项名为FOUNDATIONS 的双盲试验为期2 年,受试者为331 名具正常或低骨量的绝经后妇女,年龄为45~60 岁,子宫无损,且无脊椎骨折的病史,随机分别接受本品20mg/d或安慰剂治疗,同时使用元素钙(500 mg/d),试验的主要终点考察指标是受试者腰椎及全髋BMD 的变化及子宫内膜安全性(采用 子宫内膜组织学方法检测,某些SERMs,如他莫昔芬,会增加患子宫内膜癌的危险)。结果2 年后,本品组受试者腰椎和全髋BMD 分别较安慰剂组增加了2.9% 和2.2 %(P﹤0. 001);本品组受试者体内骨吸收生化标志物I型胶原交联羧基末端肽和骨形成生化标志物血清 I 型胶原氨基端前肽水平分别较安慰剂 组显著降低(-30% 及- 3.8%,- 38.8% 及- 10.3%,P 值均小于0.001);对于由子宫内膜活检所测宫内膜增生和癌症发生率以及由阴道 B 超所测子宫内膜厚度,两组间均无显著差异;本品组和安慰剂组受试者的阴道真菌感染发生率分别为 4%和0% (P = 0.02),而两组间不良反应发生率无显著差异。
第2名NEXT 的双盲试验显示,本品可较该公司的SERM 老产品雷洛昔芬(Evista)更有效地增加患骨质疏松症的绝经后妇女BMD,并降低其骨转换标志物水平。这项Ⅲ期临床试验为期1 年,320名受试者平均年龄 63 岁,腰椎T 评分为- 2.9,随机接受本品20 mg/d或雷洛昔芬 60 mg/d治疗,同时使用维生素 D 和钙补剂,试验的主要终点指标为腰椎 BMD,次级指标包括股骨颈和全髋BMD、血清骨转换标志物水平、乳房X光造影检查乳腺密度及安全性。结果6个月后,本品组受试者腰椎股骨颈 BMD 显著提高;试验结束时,本品组受试者腰椎、全髋和股骨颈的BMD增加百分率均明显高于雷洛昔芬组(2.8%及 1.7%,1.5% 及 0.5%,1.5%及0.8%,P 值均小于0.05);此外,本品可较雷洛昔芬更显著地抑制骨转换(P﹤0.05);本品组热潮红发生率显著低于雷洛昔芬组 (7.0% 及16.7%,P =0.009);对于作为乳腺癌风险指标的乳腺密度百分率变化, 两组无差异。
第3项名为GENERATIONS的试验正在进行中,旨在评价品对绝经后妇女脊椎骨折和侵袭性乳腺癌的预防作用。
主要参考资料
[1] 赵焱磊等. 雌激素受体调节剂阿佐昔芬.药学进展.2009 ,33(10)-478.[2] 刘爱霞等.阿佐昔芬的合成. 合成化学. 2011,19(6):802~805.
[3] 刘新民 主编.内科学•第二卷.北京:军事医学科学出版社.2009.第519页.