返回ChemicalBook首页>CAS数据库列表>1834571-04-8

1834571-04-8

中文名称 TAT-NR2B9C TFA
英文名称 Tat-NR2B9c TFA
CAS 1834571-04-8
分子式 C?HF?O?
更新日期 2025/01/21 16:31:12
分子量 2632.91
MOL 文件 1834571-04-8.mol
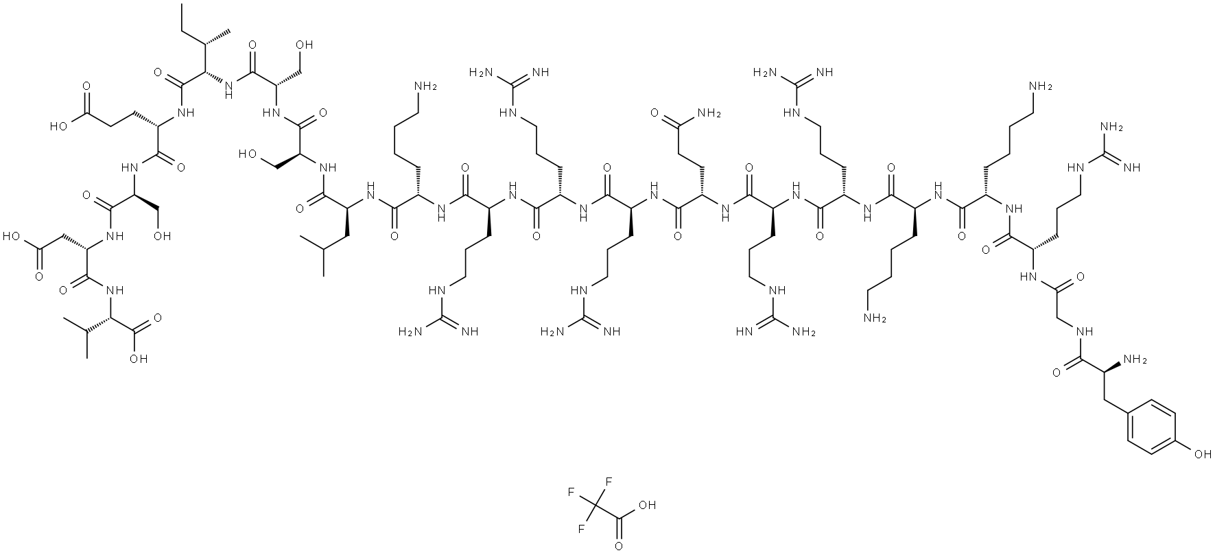
1834571-04-8 结构式 1834571-04-8 结构式

基本信息

中文别名
化合物 T13112L
英文别名
NA-1 (TFA)
Tat-NR2B9c TFA

物理化学性质

储存条件-20°C储存
形态Solid
颜色White to off-white
水溶解性Water : ≥ 50 mg/mL (18.99 mM)

常见问题列表

概述
Tat-NR2B9c TFA (Tat-NR2Bct TFA) 是一种 PSD-95 的抑制剂,抑制 PSD-95d2 (PSD-95 PDZ domain 2) 和 PSD-95d1 的 EC50 分别为 6.7 nM 和 670 nM。Tat-NR2B9c TFA 扰乱了 PSD-95/NMDAR 的相互作用,抑制 PSD-95 和 NR2A 和 NR2B 结合的 IC50 值分别为 0.5 μM 和 8 μM。Tat-NR2B9c TFA 还能抑制神经元一氧化氮合酶 (nNOS)/PSD-95 相互作用,具有神经保护作用。
TAT-NR2B9C TFA价格(试剂级)
报价日期产品编号产品名称CAS号包装价格
2025/12/22HY-P0117ATAT-NR2B9C TFA
Tat-NR2B9c TFA
1834571-04-81mg700元
2025/12/22HY-P0117ATAT-NR2B9C TFA
Tat-NR2B9c TFA
1834571-04-85mg1800元
2025/12/22HY-P0117ATAT-NR2B9C TFA
Tat-NR2B9c TFA
1834571-04-810mg2800元
"1834571-04-8" 相关产品信息