返回ChemicalBook首页>CAS数据库列表>1834605-28-5

1834605-28-5

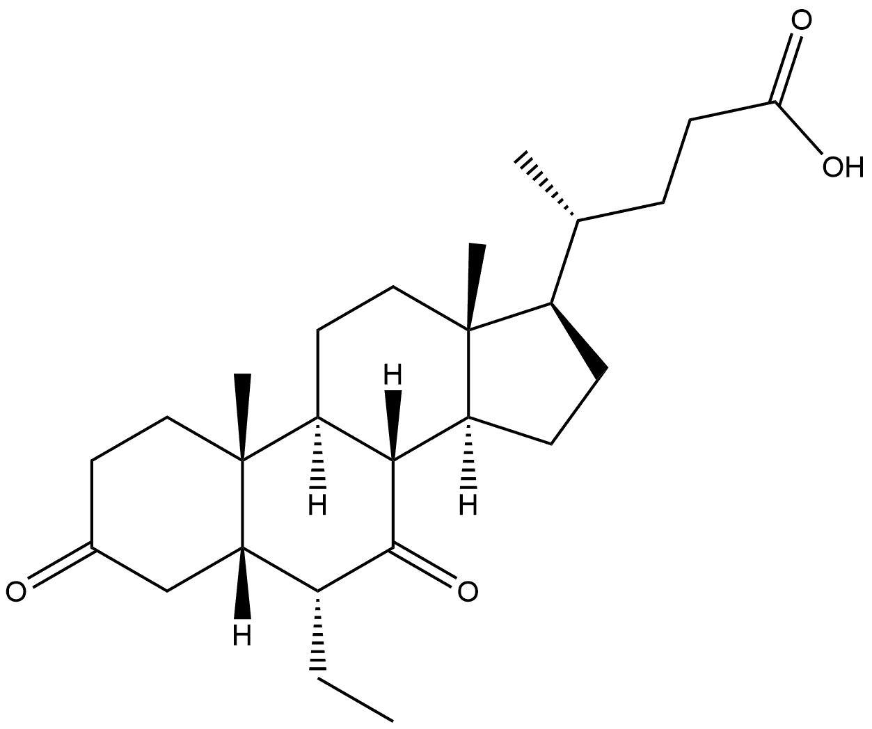
中文名称 Cholan-24-oic acid, 6-ethyl-3,7-dioxo-, (5β,6α)-
英文名称 Cholan-24-oic acid, 6-ethyl-3,7-dioxo-, (5β,6α)-
CAS 1834605-28-5
分子式 C26H40O4
分子量 416.59
更新日期 2025/11/05 09:22:51
1834605-28-5 结构式 1834605-28-5 结构式

基本信息

中文别名
奥贝胆酸杂质31
英文别名
(5β,6α)-6-Ethyl-3,7-dioxo-cholan-24-oic Acid
Cholan-24-oic acid, 6-ethyl-3,7-dioxo-, (5β,6α)-

物理化学性质

沸点560.1±25.0 °C(Predicted)
密度1.083±0.06 g/cm3(Predicted)
溶解度溶于二甲基亚砜
酸度系数(pKa)4.76±0.10(Predicted)
形态固体
颜色白色
"1834605-28-5" 相关产品信息