返回ChemicalBook首页>CAS数据库列表>187170-37-2

187170-37-2

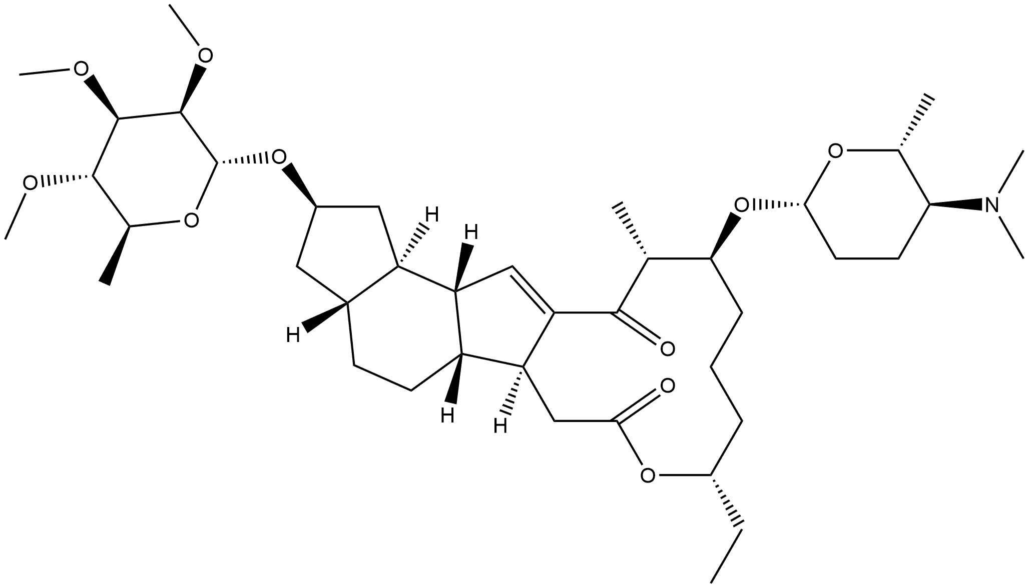
中文名称 synthesis-022
英文名称 synthesis-022
CAS 187170-37-2
分子式 C41H67NO10
更新日期 2024/07/24 11:33:16
187170-37-2 结构式 187170-37-2 结构式

基本信息

中文别名
SYNTHESIS标准品022
SYNTHESIS-1标准品012
英文别名
synthesis-022
synthesis-1-012
1H-as-Indaceno[3,2-d]oxacyclododecin-7,15-dione, 2-[(6-deoxy-2,3,4-tri-O-methyl-α-L-mannopyranosyl)oxy]-13-[[(2R,5S,6R)-5-(dimethylamino)tetrahydro-6-methyl-2H-pyran-2-yl]oxy]-9-ethyl-2,3,3a,4,5,5a,5b,6,9,10,11,12,13,14,16a,16b-hexadecahydro-14-methyl-, (2R,3aR,5aR,5bS,9S,13S,14R,16aS,16bR)-

物理化学性质

沸点795.5±60.0 °C(Predicted)
密度1.15±0.1 g/cm3(Predicted)
酸度系数(pKa)8.62±0.60(Predicted)
"187170-37-2" 相关产品信息
66449-94-3 372118-67-7 61543-21-3 17609-80-2 417721-36-9