返回ChemicalBook首页>CAS数据库列表>1924677-40-6

1924677-40-6

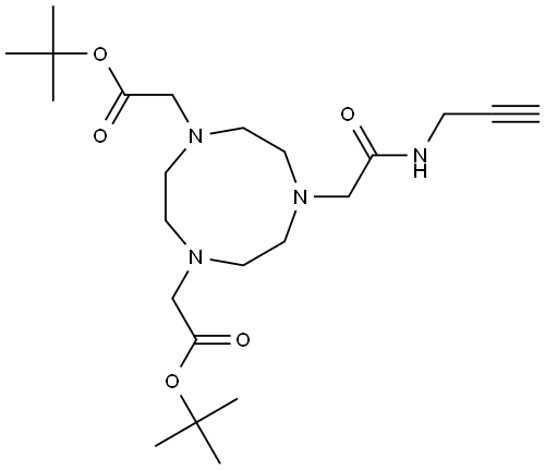
中文名称 PROPARGYL-NOTA(TBU)2
英文名称 Propargyl-NOTA(tBu)2
CAS 1924677-40-6
1924677-40-6 结构式 1924677-40-6 结构式

基本信息

中文别名
2,2'-(7-(2-氧代-2-(丙-2-炔-1-基氨基)乙基)-1,4,7-三氮杂环丙烷-1,4-二基)二乙酸二叔丁酯
2,2'-(7-(2-氧代-2-(丙-2-炔-1-基氨基)乙基)-1,4,7-三氮杂环丙烷-1,4-二基)二乙酸二叔丁酯
英文别名
Propargyl-NOTA(tBu)2

常见问题列表

概述
Propargyl-NOTA(tBu)2 是一种双功能的螯合配体,能够与放射性核素结合,制备核素偶联物 (RDC)。RDC 具有特定靶向生物分子的能力,可应用于医疗成像或治疗。
"1924677-40-6" 相关产品信息