返回ChemicalBook首页>CAS数据库列表>2093321-19-6

2093321-19-6

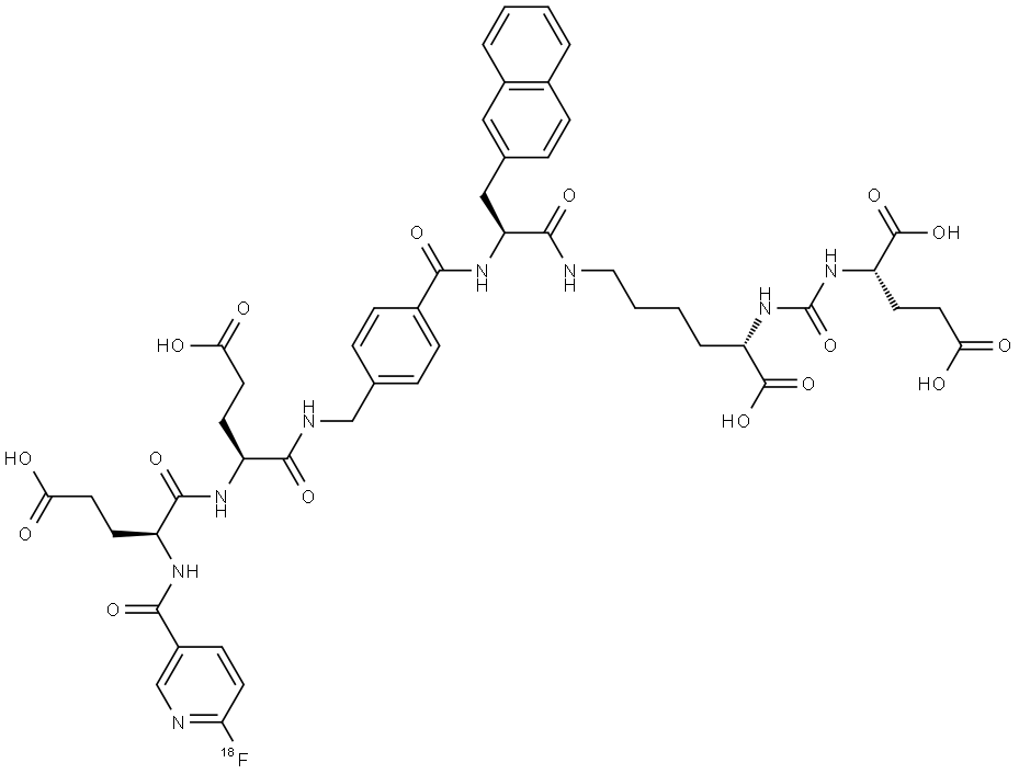
中文名称 PSMA-1007
英文名称 18F-PSMA 1007
CAS 2093321-19-6
更新日期 2025/08/18 08:51:09
2093321-19-6 结构式 2093321-19-6 结构式
"2093321-19-6" 相关产品信息