返回ChemicalBook首页>CAS数据库列表>217500-75-9

217500-75-9

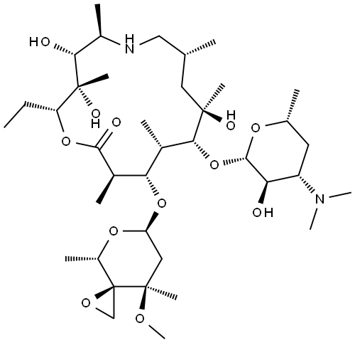
中文名称 N-Desmethyl 13(4-C,4-O-methylene)-pyranosyl Azithromycin
英文名称 N-Desmethyl 13(4-C,4-O-methylene)-pyranosyl Azithromycin
CAS 217500-75-9
分子式 C38H70N2O12
分子量 746.97
更新日期 2025/12/30 11:47:08
217500-75-9 结构式 217500-75-9 结构式

基本信息

中文别名
阿奇霉素杂质46
英文别名
Azithromycin Impurity 46
Ethyl Acetate Impurity 86
N-Desmethyl 13(4-C,4-O-methylene)-pyranosyl Azithromycin
1-Oxa-6-azacyclopentadecan-15-one, 2-ethyl-3,4,10-trihydroxy-13-[[(3S,4S,6R,8R)-8-methoxy-4,8-dimethyl-1,5-dioxaspiro[2.5]oct-6-yl]oxy]-3,5,8,10,12,14-hexamethyl-11-[[3,4,6-trideoxy-3-(dimethylamino)-β-D-xylo-hexopyranosyl]oxy]-, (2R,3S,4R,5R,8R,10R,11R,12S,13S,14R)-

物理化学性质

沸点813.1±65.0 °C(Predicted)
密度1.19±0.1 g/cm3(Predicted)
酸度系数(pKa)13.29±0.70(Predicted)
水溶解性10mg/L
"217500-75-9" 相关产品信息
620169-51-9 2089577-97-7 620169-49-5 163921-65-1 756825-20-4 217500-34-0 857078-26-3 194809-66-0 53274-43-4 194809-67-1 1914946-68-1 57794-18-0 111247-94-0