返回ChemicalBook首页>CAS数据库列表>2205034-18-8

2205034-18-8

中文名称 IL-17A antagonist 1
英文名称 IL-17A antagonist 1
CAS 2205034-18-8
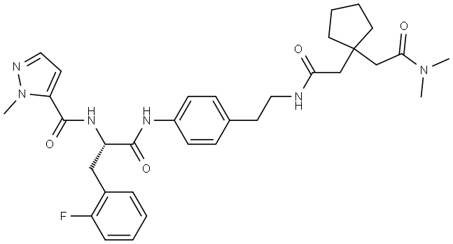
分子式 C33H41FN6O4
分子量 604.71
2205034-18-8 结构式 2205034-18-8 结构式

基本信息

中文别名
化合物 T11635
英文别名
IL-17A antagonist 1
IL 17A antagonist 1,IL17A antagonist 1

物理化学性质

沸点914.1±65.0 °C(Predicted)
密度1.24±0.1 g/cm3(Predicted)
储存条件-20°C储存
溶解度溶于二甲基亚砜
酸度系数(pKa)12.74±0.46(Predicted)
形态Solid
颜色White to off-white

常见问题列表

概述
IL-17A antagonist 1 (compound 1) 是一种 IL-17A 拮抗剂,其 Kd 值为 0.66 μM,IC50 值为 1.14 μM.
IL-17A antagonist 1价格(试剂级)
报价日期产品编号产品名称CAS号包装价格
2025/12/22HY-101913IL-17A antagonist 12205034-18-81 mg545元
2025/12/22HY-101913IL-17A antagonist 1
IL-17A antagonist 1
2205034-18-85mg1200元
2025/12/22HY-101913IL-17A antagonist 12205034-18-810 mM * 1 mLin DMSO1320元
"2205034-18-8" 相关产品信息