返回ChemicalBook首页>CAS数据库列表>2259318-47-1

2259318-47-1

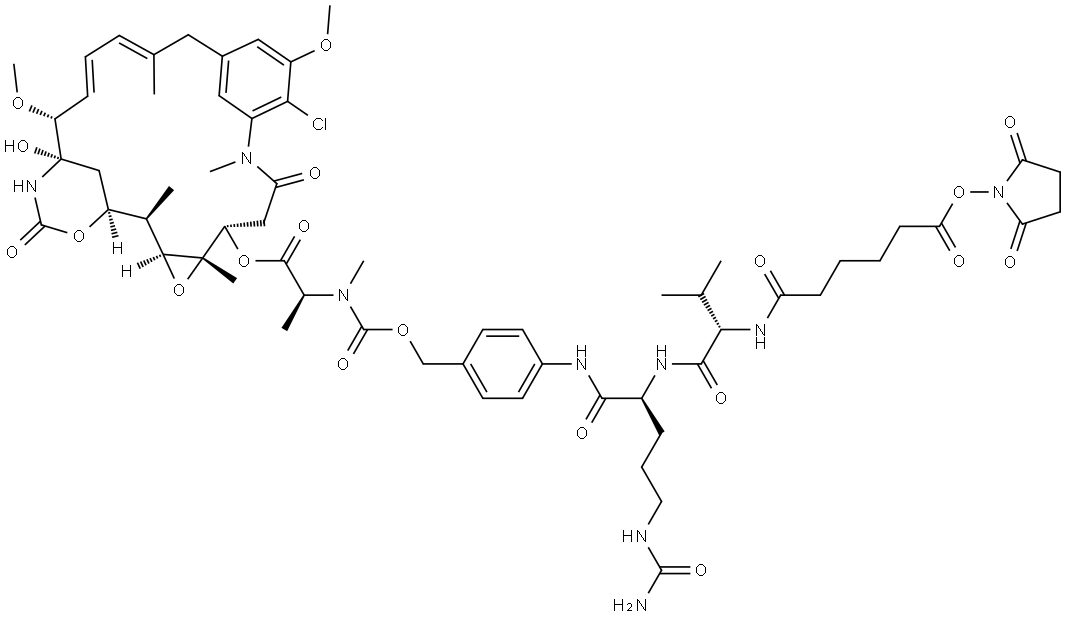
中文名称 SC-VC-PAB-DM1
英文名称 SC-VC-PAB-DM1
CAS 2259318-47-1
分子式 C61H82ClN9O19
分子量 1280.81
MOL 文件 2259318-47-1.mol
2259318-47-1 结构式 2259318-47-1 结构式

基本信息

英文别名
SC-VC-PAB-DM1

物理化学性质

密度1.38±0.1 g/cm3(Predicted)
酸度系数(pKa)9.82±0.70(Predicted)
形态Solid
颜色White to off-white

常见问题列表

概述
SC-VC-PAB-DM1 是具有抗癌活性的抗体偶联活性分子的一部分。由有效的微管蛋白抑制剂 DM1 和 ADC linker SC-VC-PAB 连接而成。
"2259318-47-1" 相关产品信息