返回ChemicalBook首页>CAS数据库列表>2376134-25-5

2376134-25-5

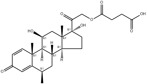
中文名称 6Β琥珀酸甲泼尼龙
英文名称 6β-Methylprednisolone Hemisuccinate
CAS 2376134-25-5
分子式 C26H34O8
分子量 474.55
MOL 文件 2376134-25-5.mol
更新日期 2026/03/27 16:40:00
2376134-25-5 结构式 2376134-25-5 结构式

基本信息

中文别名
6Β琥珀酸甲泼尼龙
甲基泼尼松龙杂质16
甲基泼尼松龙琥珀酸氢盐EP杂质F
英文别名
Methylprednisolone Impurity 16
6β-Methylprednisolone Hemisuccinate
Pregna-1,4-diene-3,20-dione, 21-(3-carboxy-1-oxopropoxy)-11,17-dihydroxy-6-methyl-, (6β,11β)-
所属类别
医药中间体:原料药中间体

物理化学性质

沸点689.6±55.0 °C(Predicted)
密度1.33±0.1 g/cm3(Predicted)
酸度系数(pKa)4.29±0.17(Predicted)
InChIKeyIMBXEJJVJRTNOW-CUETXZKZNA-N
SMILESC[C@]12C[C@H](O)[C@]3([H])[C@]4(C=CC(=O)C=C4[C@H](C)C[C@@]3([H])[C@]1([H])CC[C@]2(O)C(=O)COC(=O)CCC(=O)O)C |&1:1,3,5,7,14,17,19,23,r|
"2376134-25-5" 相关产品信息