返回ChemicalBook首页>CAS数据库列表>2397639-33-5

2397639-33-5

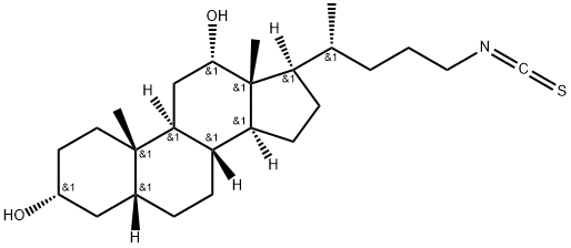
中文名称 化合物 ANTILEISHMANIAL AGENT-10
英文名称 Cholane-3,12-diol, 24-isothiocyanato-, (3α,5β,12α)-
CAS 2397639-33-5
分子式 C25H41NO2S
分子量 419.67
MOL 文件 2397639-33-5.mol
2397639-33-5 结构式 2397639-33-5 结构式

基本信息

中文别名
化合物 ANTILEISHMANIAL AGENT-10
英文别名
Antileishmanial agent-10
Cholane-3,12-diol, 24-isothiocyanato-, (3α,5β,12α)-

物理化学性质

沸点553.6±35.0 °C(Predicted)
密度1.24±0.1 g/cm3(Predicted)
酸度系数(pKa)14.89±0.70(Predicted)

常见问题列表

概述
Antileishmanial agent-10 (Compound 7h) 是一种抗原虫 (antiprotozoal) 剂。
"2397639-33-5" 相关产品信息