返回ChemicalBook首页>CAS数据库列表>2409844-90-0

2409844-90-0

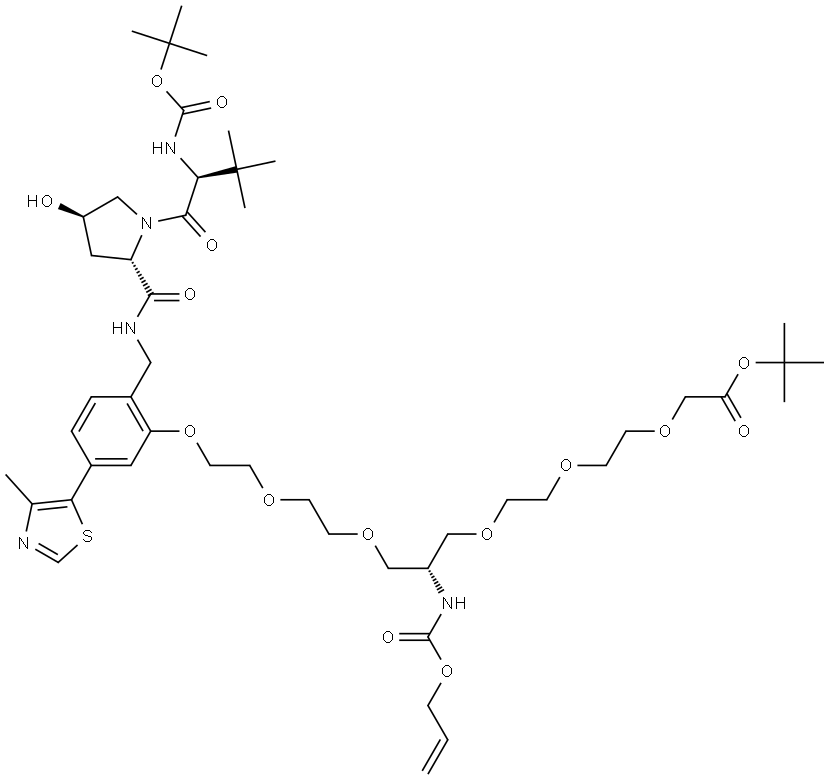
英文名称 E3 Ligase Ligand-linker Conjugate 116
CAS 2409844-90-0
分子式 C48H75N5O15S
分子量 994.2
MOL 文件 2409844-90-0.mol
2409844-90-0 结构式 2409844-90-0 结构式

基本信息

英文别名
E3 Ligase Ligand-linker Conjugate 116

物理化学性质

沸点1035.6±65.0 °C(predicted)
密度1.195±0.06 g/cm3(Temp: 20 °C; Press: 760 Torr)(predicted)
酸度系数(pKa)11.57±0.46(predicted)
"2409844-90-0" 相关产品信息