返回ChemicalBook首页>CAS数据库列表>2413016-98-3

2413016-98-3

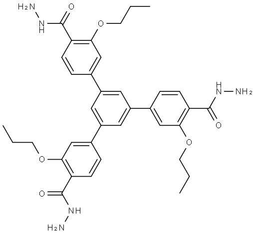
中文名称 5'-(4-(肼羰基)-3-丙氧基苯基)-3,3''-二丙氧基-[1,1':3',1''-三联苯]-4,4''-二甲酰肼
英文名称 5'-(4-(hydrazinecarbonyl)-3-propoxyphenyl)-3,3''-dipropoxy-[1,1':3',1''-terphenyl]-4,4''-dicarbohydrazide
CAS 2413016-98-3
更新日期 2026/03/30 13:22:04
分子式 C36H42N6O6
分子量 654.76
MOL 文件 2413016-98-3.mol
2413016-98-3 结构式 2413016-98-3 结构式

基本信息

中文别名
5'-(4-(肼羰基)-3-丙氧基苯基)-3,3''-二丙氧基-[1,1':3',1''-三联苯]-4,4''-二甲酰肼
英文别名
5'-(4-(hydrazinecarbonyl)-3-propoxyphenyl)-3,3''-dipropoxy-[1,1':3',1''-terphenyl]-4,4''-dicarbohydrazide

物理化学性质

密度1+-.0.06 g/cm3(Predicted)
酸度系数(pKa)11.17±0.10(Predicted)
"2413016-98-3" 相关产品信息