返回ChemicalBook首页>CAS数据库列表>2414254-41-2

2414254-41-2

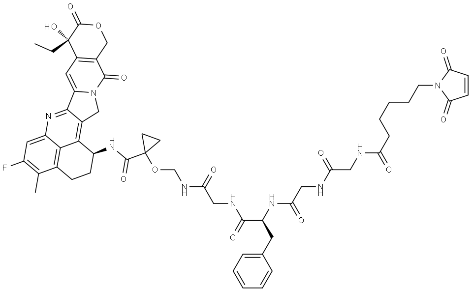
中文名称 化合物 MC-GLY-GLY-PHE-GLY-AMIDE-CYCLOPROPANOL-AMIDE-EXATECAN
英文名称 INDEX NAME NOT YET ASSIGNED
CAS 2414254-41-2
分子式 C54H58FN9O13
分子量 1060.09
MOL 文件 2414254-41-2.mol
2414254-41-2 结构式 2414254-41-2 结构式

基本信息

中文别名
化合物 MC-GLY-GLY-PHE-GLY-AMIDE-CYCLOPROPANOL-AMIDE-EXATECAN

物理化学性质

密度1.49±0.1 g/cm3(Predicted)
溶解度DMSO : 60 mg/mL (56.60 mM; ultrasonic and warming and heat to 60°C)
酸度系数(pKa)11.18±0.40(Predicted)
形态Solid
颜色White to off-white

常见问题列表

概述
MC-Gly-Gly-Phe-Gly-amide-cyclopropanol-amide-Exatecan 是一种含有抗体活性分子偶联物的活性分子组合物。(摘自专利 WO2021190581 Example 1-8)。
"2414254-41-2" 相关产品信息