返回ChemicalBook首页>CAS数据库列表>2417369-94-7

2417369-94-7

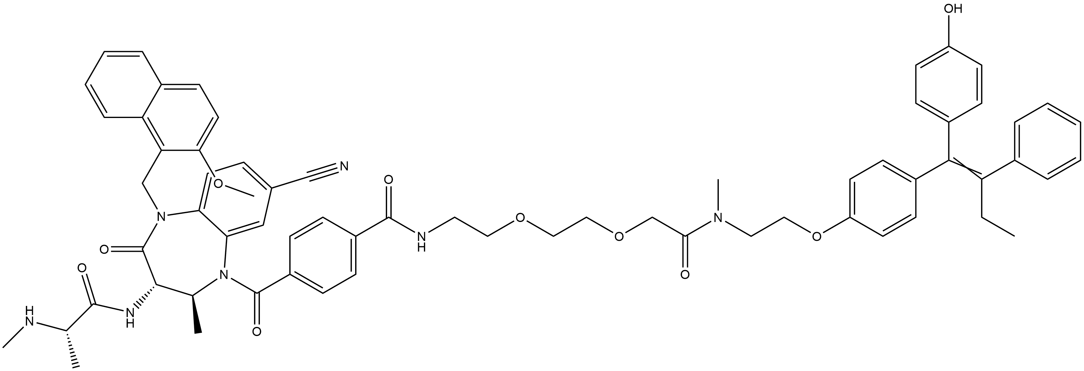
英文名称 Benzamide, 4-[[(2S,3S)-8-cyano-2,3,4,5-tetrahydro-5-[(2-methoxy-1-naphthalenyl)methyl]-2-methyl-3-[[(2S)-2-(methylamino)-1-oxopropyl]amino]-4-oxo-1H-1,5-benzodiazepin-1-yl]carbonyl]-N-[2-[2-[2-[[2-[4-[1-(4-hydroxyphenyl)-2-phenyl-1-buten-1-yl]phenoxy]ethyl]methylamino]-2-oxoethoxy]ethoxy]ethyl]-
CAS 2417369-94-7
分子式 C66H69N7O10
分子量 1120.3
MOL 文件 2417369-94-7.mol
2417369-94-7 结构式 2417369-94-7 结构式

基本信息

英文别名
Benzamide, 4-[[(2S,3S)-8-cyano-2,3,4,5-tetrahydro-5-[(2-methoxy-1-naphthalenyl)methyl]-2-methyl-3-[[(2S)-2-(methylamino)-1-oxopropyl]amino]-4-oxo-1H-1,5-benzodiazepin-1-yl]carbonyl]-N-[2-[2-[2-[[2-[4-[1-(4-hydroxyphenyl)-2-phenyl-1-buten-1-yl]phenoxy]ethyl]methylamino]-2-oxoethoxy]ethoxy]ethyl]-

物理化学性质

沸点1234.6±65.0 °C(Predicted)
密度1.32±0.1 g/cm3(Predicted)
储存条件-20°C储存
溶解度DMSO: 200 mg/mL (178.53 mM); Water: < 0.1 mg/mL (insoluble)
酸度系数(pKa)9.38±0.15(Predicted)
形态Solid
颜色Off-white to light yellow

常见问题列表

概述
PROTAC ERα Degrader-1 包含泛素 E3 连接酶结合基团,linker 和靶蛋白结合基团。PROTAC ERα Degrader-1 的详细信息请参考专利文献 WO2017201449A1 中的化合物 P1。PROTAC ERα Degrader-1 降低雌激素受体-α (ERα) 水平。
"2417369-94-7" 相关产品信息