你好!欢迎来到ChemicalBook。
登录
注册
退出
我的ChemicalBook
发布产品
产品管理
发布供应信息
黄金产品设置
大货产品设置
直通车产品设置
发布供应信息
结构式搜索
返回ChemicalBook首页
>
CAS数据库列表
>2566525-18-4
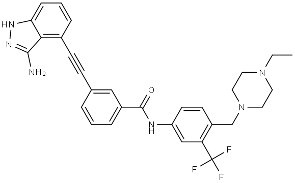
2566525-18-4
中文名称
化合物 AKE-72
英文名称
AKE-72
CAS
2566525-18-4
分子式
C30H29F3N6O
分子量
546.59
MOL 文件
2566525-18-4.mol
2566525-18-4 结构式
基本信息
物理化学性质
常见问题列表
基本信息
中文别名
化合物 AKE-72
英文别名
AKE-72
物理化学性质
沸点
659.177±55.00 °C(Press: 760.00 Torr)(predicted)
密度
1.394±0.10 g/cm3(Temp: 25 °C; Press: 760 Torr)(predicted)
酸度系数(pKa)
12.503±0.70(predicted)
形态
Solid
颜色
Off-white to light yellow
常见问题列表
概述
AKE-72 (compound 5) 是一种有效的 Pan-BCR-ABL 抑制剂。AKE-72 抑制 BCR-ABLWT,BCR-ABLT315,BCR-ABLE255K,BCR-ABLF3171,BCR-ABLH396P 和 BCR-ABLQ252H,其 IC50 分别为 < 0.5、9、8.98、3.12、< 1.0 和 3.88 nM。AKE-72 对 K-562 细胞系具有抗白血病活性。
"2566525-18-4"
相关产品信息