返回ChemicalBook首页>CAS数据库列表>2568273-79-8

2568273-79-8

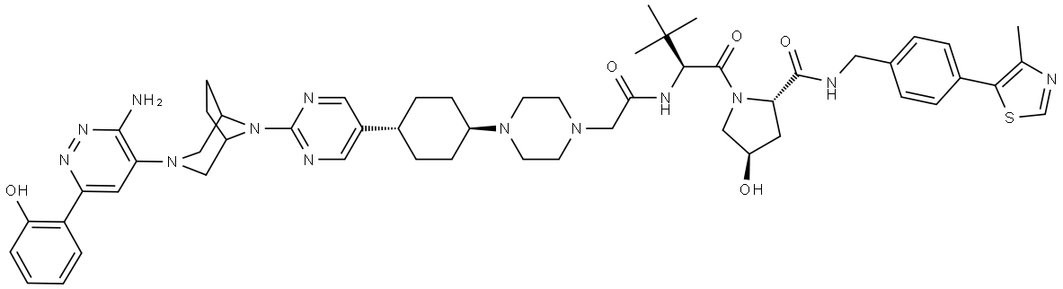
英文名称 PROTAC SMARCA2/4-degrader-32
CAS 2568273-79-8
分子式 C54H69N13O5S
分子量 1012.28
MOL 文件 2568273-79-8.mol
2568273-79-8 结构式 2568273-79-8 结构式

基本信息

英文别名
PROTAC SMARCA2/4-degrader-32

物理化学性质

密度1.314±0.06 g/cm3(Temp: 25 °C; Press: 760 Torr)(predicted)
酸度系数(pKa)6.274±0.30(predicted)

常见问题列表

概述
PROTAC SMARCA2/4-degrader-32 (compound I-446) 是靶向 SMARCA2 和 SMARCA4 的 PROTAC 降解剂;其在 A549 细胞中降解 SMARCA2/4 蛋白的 DC50s 均 <100 nM,处理 24 h 时最大降解率 (Dmax%) 均 >90。
"2568273-79-8" 相关产品信息