返回ChemicalBook首页>CAS数据库列表>2626930-84-3

2626930-84-3

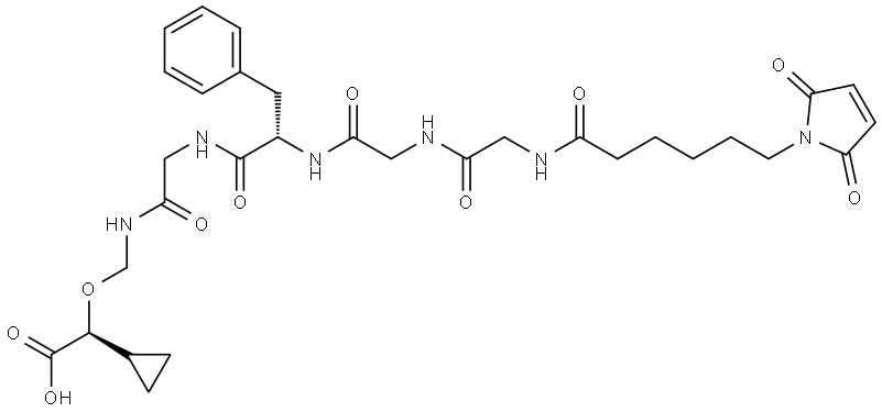
英文名称 INDEX NAME NOT YET ASSIGNED
CAS 2626930-84-3
分子式 C31H40N6O10
分子量 656.68
MOL 文件 2626930-84-3.mol
2626930-84-3 结构式 2626930-84-3 结构式

物理化学性质

沸点1144.7±65.0 °C(Predicted)
密度1.349±0.06 g/cm3(Predicted)
酸度系数(pKa)3.17±0.10(Predicted)
形态Solid
颜色Off-white to light yellow

常见问题列表

概述
MC-GGFG-NH-CH2-O-CH2-(s-cyclopropane)-COOH 是一种 ADC linker,可与细胞毒素 Camptothecin (HY-16560) 结合,形成 ADC 相关的药物-linker 偶联物 (Drug-Linker Conjugates for ADC)。MC-GGFG-NH-CH2-O-CH2-cyclopropane-COOH 偶联 Camptothecin,可进一步结合抗体 Trastuzumab (HY-P9907),形成抗体-药物偶联物 (Antibody-Drug Conjugates (ADCs))。
"2626930-84-3" 相关产品信息