你好!欢迎来到ChemicalBook。
登录
注册
退出
我的ChemicalBook
发布产品
产品管理
发布供应信息
黄金产品设置
大货产品设置
直通车产品设置
发布供应信息
结构式搜索
返回ChemicalBook首页
>
CAS数据库列表
>2648610-97-1
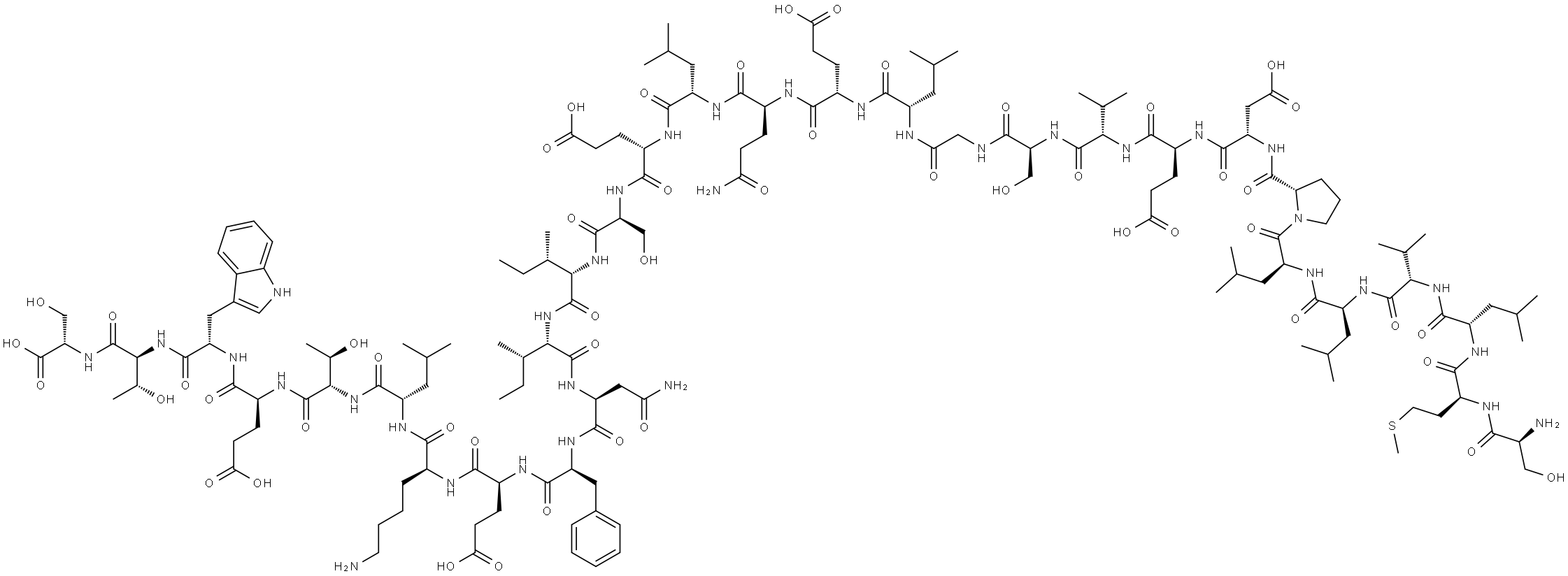
2648610-97-1
中文名称
OVA (241-270)
英文名称
OVA (241-270)
CAS
2648610-97-1
2648610-97-1 结构式
基本信息
常见问题列表
基本信息
英文别名
OVA (241-270)
常见问题列表
生物活性
OVA (241-270) 是非特异性的 cytotoxic T lymphocyte (CTL) 多肽,是来自卵白蛋白 (ovalbumin) 的一个片段。
"2648610-97-1"
相关产品信息