272451-65-7
272451-65-7 结构式
基本信息
氟苯虫酰胺
氟虫酰胺 标准品
氟虫双酰胺,氟苯酰胺
氟虫双酰胺(氟苯虫酰胺)
氟虫双酰胺+己唑醇 水分散粒剂
氟苯虫酰胺溶液,1000PPM
氟虫双酰胺溶液, 100PPM
甲醇中氟苯虫酰胺溶液,100ΜG/ML
FLUBENDIAMIDE@1000 ΜG/ML IN ACETONITRILE
FLUBENDIAMIDE
Flubendiamide [iso]
Flubendiamide Standard
Flubendiamide Solution, 1000ppm
FlubendiamideSolution,100mg/L1ml
Flubendiamide@1000 μg/mL in Acetonitrile
Flubendiamide @100 μg/mL in Acetonitrile
Flubendiamide Solution in Methanol, 100μg/mL
3-Iodo-N2-(2-methyl-1-(methylsulfonyl)propan-2-yl)-N1-(2-methyl-4-(perfluoropropan-2-yl)phenyl
物理化学性质
常见问题列表
原药含量≥95.0%,纯品为白色结晶粉末,熔点217.5~220.7℃,蒸气压<1×10-1mPa(25℃),KowlgP=4.2(20℃),相对密度1.659(20℃)。水中溶解度29.9ug/L(20℃);有机溶剂中溶解度(g/L):对二甲苯0.488,正庚烷0.000835,甲醇26.0,1,2-二氯乙烷8.12,丙酮102,乙酸乙酯29.4。在酸和碱中稳定(pH4~9),水中光解DT505.5d(蒸馏水,25℃)。
氟苯虫酰胺对几乎所有的鳞翅目类害虫均具有很好的活性,EC50值均在1.0mg(a. i. )/L以下,对鳞翅目之外的害虫活性并不高。氟苯虫酰胺对小菜蛾成虫的 EC50[ mg(a. i. )/1]为0.21,与氯氟氰菊酯(cyhalothrin)相当;对2龄幼虫的活性最高,EC50为0.004,是氯氟氰菊酯的60倍,但对卵无活性。对斜纹夜蛾三个不同龄期幼虫的活性测试结果表明,氟苯虫酰胺对1龄幼虫最有效,3龄和5龄幼虫次之。氟苯虫酰胺与氯氟氰菊酯、灭多威、丙溴磷、多杀菌素相比,优点是对5龄幼虫也显示很高的活性。尽管如此,在田间应用时,为了更有效地防治害虫,应在幼虫期使用。
氟苯虫酰胺主要用于蔬菜、水果、水稻和棉花防治鳞翅目害虫,对成虫和幼虫均有优良活性,作用迅速、持效期长。国内使用的主要是20%的水分散粒剂,用于防治白菜上的甜菜夜蛾和小菜蛾,用药量45~50g/hm2,使用方法为喷雾。
氟苯虫酰胺具有独特的作用方式,高效广谱,残效期长,毒性低,用于防治鳞翅目害虫,是一种Ryanodine(鱼尼丁类)受体,即类似于位于细胞内肌质网膜上的钙释放通道的调节剂。Ryanodine 是一种肌肉毒剂,它主要作用于钙离子通道,影响肌肉收缩,使昆虫肌肉松弛性麻痹,从而杀死害虫。氟苯虫酰胺对除虫菊酯类、苯甲酰脲类、有机磷类、氨基甲酸酯类已产生抗性的小菜蛾3龄幼虫具有很好的活性。氟苯虫酰胺对几乎所有的鳞翅目类害虫均具有很好的活性。
适合防治各种对水稻、果树、蔬菜、棉花、花卉和观赏植物等有害的害虫如农业害虫、森林害虫、园艺害虫、储藏谷物害虫、卫生害虫、线虫等具有明显的杀虫效果。氟虫双胺是一种新型杀虫剂,对番茄鳞翅目害虫有较好的防治效果。
雌、雄大鼠急性经口LD.>2000mg/kg,雌、雄大鼠急性经皮LD50>2000mg/kg,对兔眼睛轻微刺激,对兔皮肤没有刺激,对豚鼠皮肤无致敏性。大鼠吸入LC50>0.0685mg/L。NOEL[1y,mg/(kg .d)]:雄大鼠1.95,雌大鼠2.40。ADI: aRfD 0.995mg/kg,cRfD 0.024mg/kg;(日本 FSC)0.017mg/(kg -d)[2007]。Ames试验呈阴性。
(1)动物在血液和血浆浓度的峰值6~12h仅能部分吸收,主要是通过粪便在24h内排泄出体外。代谢主要是利用甲基苯胺的多步氧化及葡萄糖醛酸化作用。谷胱甘肽结合邻苯二甲酸是其次要代谢产物。在大鼠的粪便中,氟苯虫酰胺为主要部分,同时在大鼠粪便中还能发现少量的苯甲酸(雌鼠)和苯甲醇(雄鼠和雌鼠)。
(2)土壤/环境稳定存在于酸性及碱性体系(pH4~9);水及土壤中的光解作用是其在环境中代谢的主要途径,DT50分别为5.5d和11.6d,无氧条件下在水中 DT50,365d,土壤中 DT50210~770d,在土壤中几乎没有流动性,Kfoc1076~3318L/kg;氟苯虫酰胺及其主要代谢物脱碘的氟苯虫酰胺的半衰期表明它们在连续使用后会慢慢累积在土壤和水中。
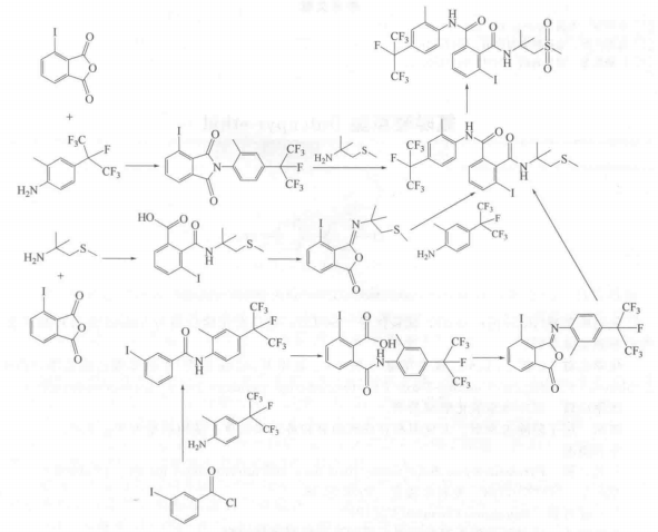
氟苯虫酰胺主要有三条合成路线,重要的中间体有3-碘邻苯二甲酸酐、2-甲基-2-氨基-1-(甲硫基)丙烷和2-甲基-4-(七氟异丙基)苯胺:

