你好!欢迎来到ChemicalBook。
登录
注册
退出
我的ChemicalBook
发布产品
产品管理
发布供应信息
黄金产品设置
大货产品设置
直通车产品设置
发布供应信息
结构式搜索
返回ChemicalBook首页
>
CAS数据库列表
>2727084-00-4
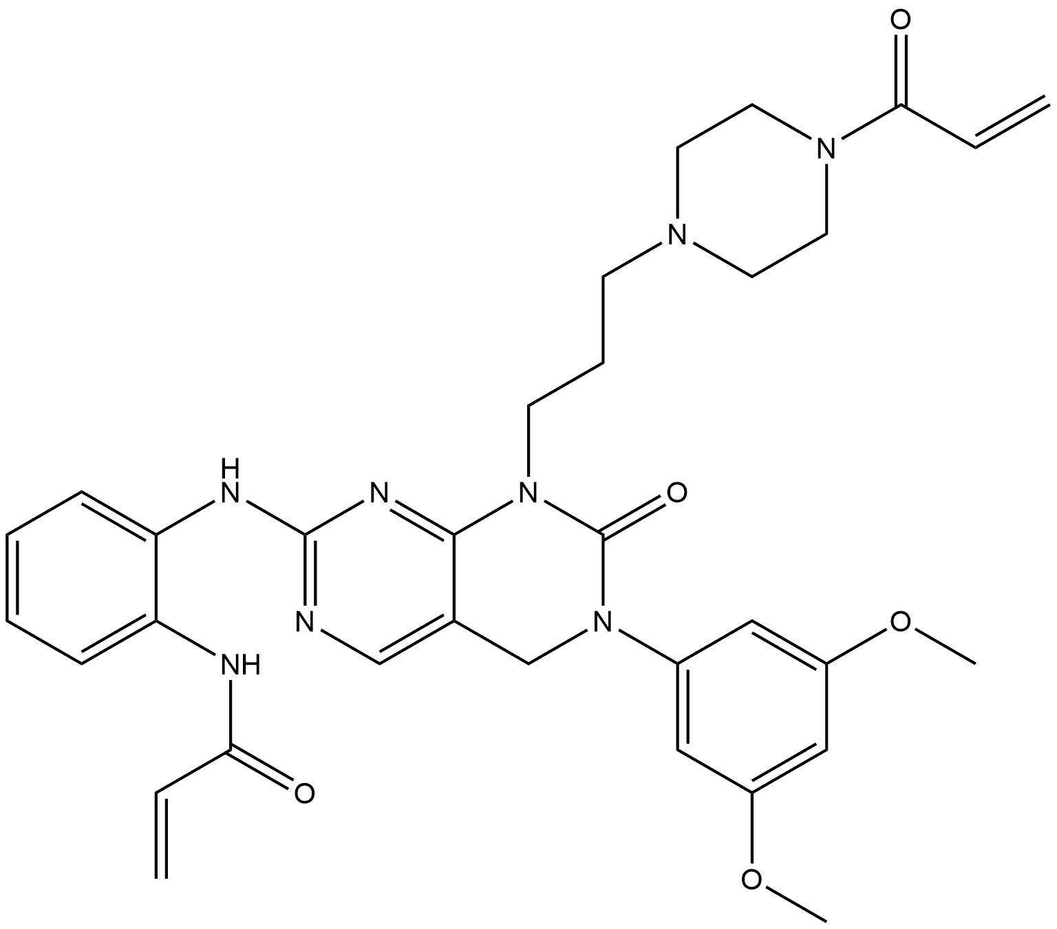
2727084-00-4
中文名称
化合物 CXF-009
英文名称
CXF-009
CAS
2727084-00-4
分子式
C33H38N8O5
分子量
626.71
MOL 文件
2727084-00-4.mol
2727084-00-4 结构式
基本信息
物理化学性质
常见问题列表
基本信息
中文别名
化合物 CXF-009
英文别名
CXF-009
物理化学性质
密度
1.290±0.06 g/cm3(Temp: 20 °C; Press: 760 Torr)(Predicted)
酸度系数(pKa)
13.16±0.70(Predicted)
常见问题列表
概述
CXF-009 是一种选择性的、共价的 FGFR4 抑制剂,其 IC50 值为 48 nM。CXF-009 靶向 FGFR4 的Cys477 和 Cys552, 可用于肝细胞癌研究。
"2727084-00-4"
相关产品信息