你好!欢迎来到ChemicalBook。
登录
注册
退出
我的ChemicalBook
发布产品
产品管理
发布供应信息
黄金产品设置
大货产品设置
直通车产品设置
发布供应信息
结构式搜索
返回ChemicalBook首页
>
CAS数据库列表
>2740357-12-2
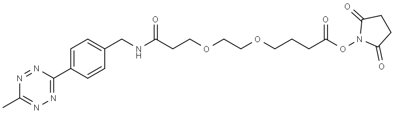
2740357-12-2
英文名称
Me-Tet-PEG2-NHS
CAS
2740357-12-2
2740357-12-2 结构式
基本信息
常见问题列表
基本信息
英文别名
Me-Tet-PEG2-NHS
常见问题列表
概述
Me-Tet-PEG2-NHS 是含有 2 个 PEG 单元的 ADC Linker。Me-Tet-PEG2-NHS 可利用自身含有的 Tetrazine 基团与带 TCO 基团的化合物发生特异的逆电子需求 Diels-Alder?反应 (iEDDA)。
"2740357-12-2"
相关产品信息