返回ChemicalBook首页>CAS数据库列表>2839324-63-7

2839324-63-7

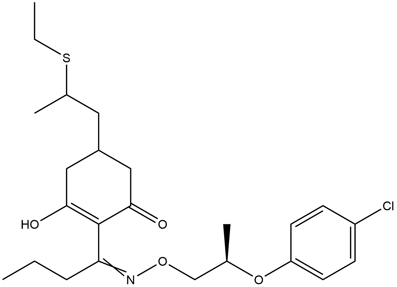
英文名称 2-[1-[[(2R)-2-(4-Chlorophenoxy)propoxy]imino]butyl]-5-[2-(ethylthio)propyl]-3-hydroxy-2-cyclohexen-1-one
CAS 2839324-63-7
分子式 C24H34ClNO4S
分子量 468.05
MOL 文件 2839324-63-7.mol
2839324-63-7 结构式 2839324-63-7 结构式

基本信息

英文别名
2-[1-[[(2R)-2-(4-Chlorophenoxy)propoxy]imino]butyl]-5-[2-(ethylthio)propyl]-3-hydroxy-2-cyclohexen-1-one

物理化学性质

沸点579.4±60.0 °C(Predicted)
密度1.18±0.1 g/cm3(Temp: 20 °C; Press: 760 Torr)(Predicted)
酸度系数(pKa)4.30±0.25(Predicted)
"2839324-63-7" 相关产品信息