你好!欢迎来到ChemicalBook。
登录
注册
退出
我的ChemicalBook
发布产品
产品管理
发布供应信息
黄金产品设置
大货产品设置
直通车产品设置
发布供应信息
结构式搜索
返回ChemicalBook首页
>
CAS数据库列表
>2917502-08-8
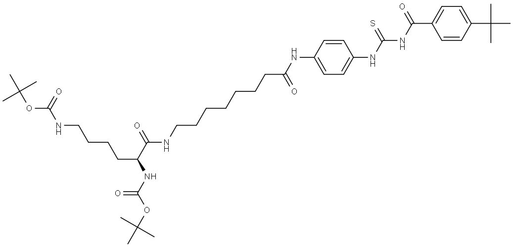
2917502-08-8
英文名称
NA
CAS
2917502-08-8
分子式
C42H64N6O7S
分子量
797.06
MOL 文件
2917502-08-8.mol
2917502-08-8 结构式
基本信息
物理化学性质
常见问题列表
物理化学性质
密度
1.150±0.06 g/cm3(Temp: 20 °C; Press: 760 Torr)(predicted)
酸度系数(pKa)
9.12±0.70(predicted)
常见问题列表
概述
Anti-Influenza agent 6 (compound 19b) 对 A/WSN/33/H1N1 (EC50 = 0.015 μM) 和乙型流感病毒 Yamagata/16/88 (EC50 = 0.073 μM) 和 Victotis/2/87 (EC50 = 0.067 μM) 表现出抑制活性。
"2917502-08-8"
相关产品信息