你好!欢迎来到ChemicalBook。
登录
注册
退出
我的ChemicalBook
发布产品
产品管理
发布供应信息
黄金产品设置
大货产品设置
直通车产品设置
发布供应信息
结构式搜索
返回ChemicalBook首页
>
CAS数据库列表
>2928560-25-0
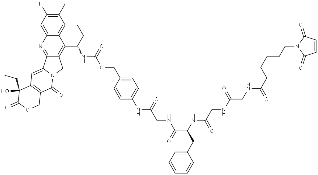
2928560-25-0
英文名称
NA
CAS
2928560-25-0
分子式
C57H58FN9O13
分子量
1096.12
MOL 文件
2928560-25-0.mol
2928560-25-0 结构式
基本信息
物理化学性质
物理化学性质
密度
1.491±0.10 g/cm3(Temp: 25 °C; Press: 760 Torr)(predicted)
酸度系数(pKa)
10.736±0.40(predicted)
"2928560-25-0"
相关产品信息