返回ChemicalBook首页>CAS数据库列表>2964-81-0

2964-81-0

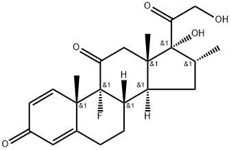
中文名称 Dexamethasone Impurity 6
英文名称 Dexamethasone Impurity 6
CAS 2964-81-0
分子式 C22H27FO5
分子量 390.45
MOL 文件 2964-81-0.mol
更新日期 2025/04/27 09:49:43
2964-81-0 结构式 2964-81-0 结构式

基本信息

英文别名
Dexamethasone Impurity 26
Pregna-1,4-diene-3,11,20-trione, 9-fluoro-17,21-dihydroxy-16-methyl-, (16α)-

物理化学性质

沸点562.2±50.0 °C(Predicted)
密度1.32±0.1 g/cm3(Predicted)
溶解度DMSO (Slightly), Ethanol (Slightly, Heated), Water (Sparingly)
酸度系数(pKa)12.03±0.70(Predicted)
形态Solid
颜色White to Off-White
"2964-81-0" 相关产品信息