你好!欢迎来到ChemicalBook。
登录
注册
退出
我的ChemicalBook
发布产品
产品管理
发布供应信息
黄金产品设置
大货产品设置
直通车产品设置
发布供应信息
结构式搜索
返回ChemicalBook首页
>
CAS数据库列表
>303014-91-7
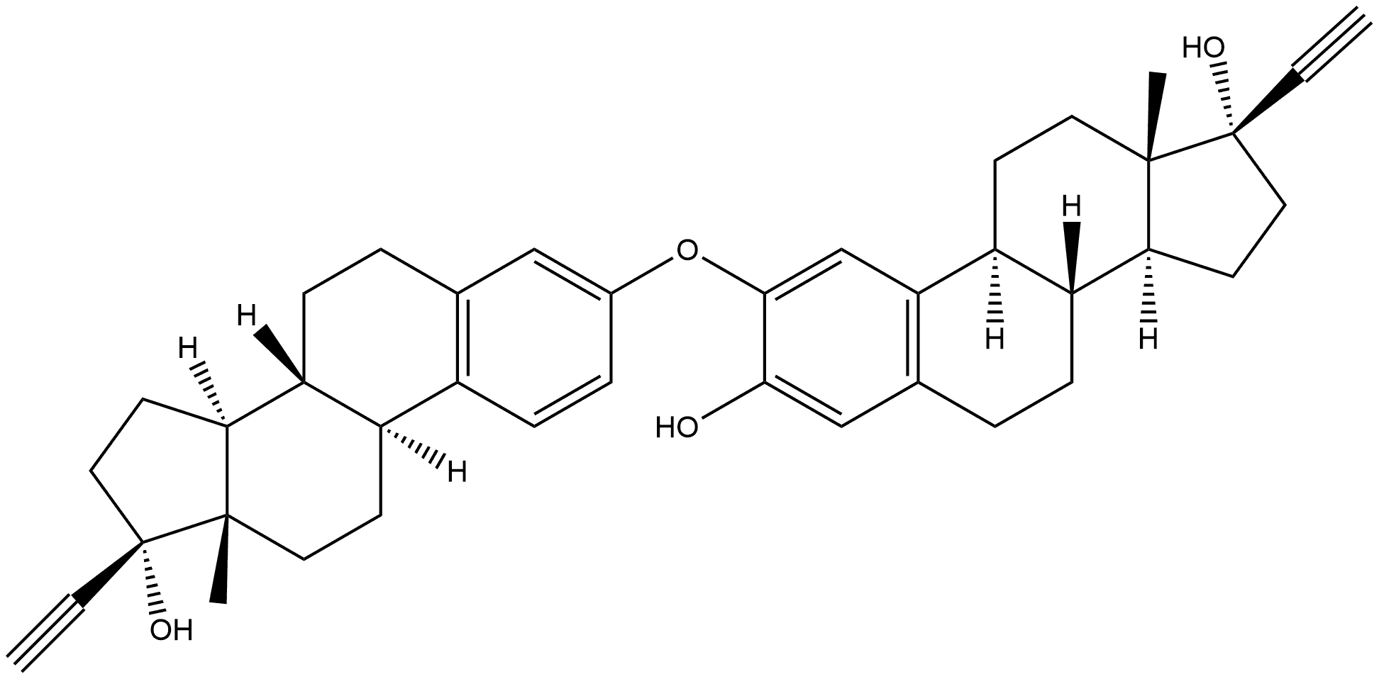
303014-91-7
中文名称
ETHINYLESTRADIOL DIMER IMPURITY 2
英文名称
Ethinyl Estradiol Dimer Impurity 2
CAS
303014-91-7
303014-91-7 结构式
基本信息
基本信息
中文别名
炔雌醇二聚体杂质2
乙炔雌二醇二聚体杂质2
英文别名
Ethinylestradiol 2-Oxy Dimer
ETHYNYL ESTRADIOL DIMER IMPURITY 2
Ethinyl Estradiol Dimer Impurity 2
"303014-91-7"
相关产品信息
350820-06-3
303014-90-6