你好!欢迎来到ChemicalBook。
登录
注册
退出
我的ChemicalBook
发布产品
产品管理
发布供应信息
黄金产品设置
大货产品设置
直通车产品设置
发布供应信息
结构式搜索
返回ChemicalBook首页
>
CAS数据库列表
>3034542-28-1
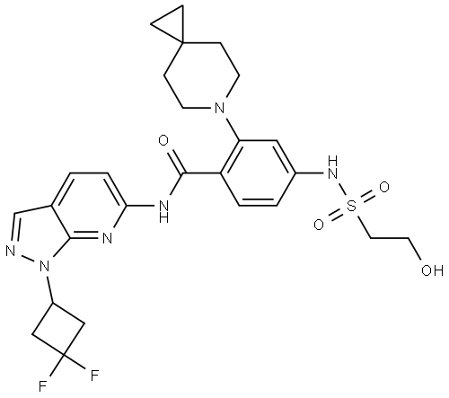
3034542-28-1
英文名称
KIF18A-IN-10
CAS
3034542-28-1
分子式
C26H30F2N6O4S
分子量
560.62
MOL 文件
3034542-28-1.mol
3034542-28-1 结构式
基本信息
物理化学性质
常见问题列表
基本信息
英文别名
KIF18A-IN-10
物理化学性质
密度
1.59±0.1 g/cm3(Temp: 20 °C; Press: 760 Torr)(predicted)
酸度系数(pKa)
5.46±0.10(predicted)
常见问题列表
概述
KIF18A-IN-10 (Compound 24) 是一种有效的 KIF18A 抑制剂,IC50 值为 3.8 nM。KIF18A-IN-10 具有抗癌活性,在 OVCAR3 和 MDA-MB-157 细胞中的 IC50 值小于 100 nM。
"3034542-28-1"
相关产品信息