你好!欢迎来到ChemicalBook。
登录
注册
退出
我的ChemicalBook
发布产品
产品管理
发布供应信息
黄金产品设置
大货产品设置
直通车产品设置
发布供应信息
结构式搜索
返回ChemicalBook首页
>
CAS数据库列表
>42578-93-8
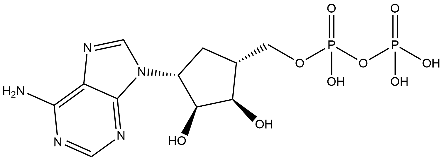
42578-93-8
英文名称
((1R,2R,3S,4R)-4-(6-Amino-9H-purin-9-yl)-2,3-dihydroxycyclopentyl)methyl trihydrogen diphosphate
CAS
42578-93-8
42578-93-8 结构式
基本信息
基本信息
英文别名
((1R,2R,3S,4R)-4-(6-Amino-9H-purin-9-yl)-2,3-dihydroxycyclopentyl)methyl trihydrogen diphosphate
"42578-93-8"
相关产品信息