447399-55-5
447399-55-5 结构式
基本信息
砜吡草唑标准品002
PYROXASULFONE SOLUTION
pyroxasulfone
pyroxasulfone-002
Pyroxasulfone Solution
3-[[5-(difluoromethoxy)-1-methyl-3-(trifluoromethyl)pyrazol-4-yl]methylsulfonyl]-5,5-dimethyl-4H-1,2-oxazole
Isoxazole, 3-[[[5-(difluoromethoxy)-1-methyl-3-(trifluoromethyl)-1H-pyrazol-4-yl]methyl]sulfonyl]-4,5-dihydro-5,5-dimethyl-
物理化学性质
常见问题列表
砜吡草唑,试验代号 KIH-485、KUH-043。商品名称 Anthem、Fierce,Sakura,Sekura、Zidua。其他名称 Anthem ATZ,是由日本组合化学工业株式会社(Kumiai Chemical In-dustry Co Ltd)与庵原化学工业株式会社(Ihara Chemical Industry Co Ltd)研制,目前与拜耳、巴斯夫共同开发的可有效防除玉米田、大豆田及小麦田的禾本科和阔叶杂草的新型苗前除草剂。白色晶体,熔点130.7℃。水溶性3.49mg/L(20℃),其他溶剂中溶解度(g/L):丙酮≥250,二氯甲烷151,乙酸乙酯97,甲醇11.4,甲苯11.3,正己烷0.072。蒸气压2×10-6Pa(25℃),54℃可以稳定存在14d。
砜吡草唑被杂草根与幼芽吸收,抑制幼苗早期生长,破坏顶端分生组织与胚芽鞘生长。它是植物体内极长侧链脂肪酸(VLCFAs)生物合成的严重潜在抑制剂:在植物体内,极长侧链脂肪酸(VLCFAs)含有18个以上C原子,通过内质网的微粒体伸长系统由硬脂酸(C,,脂肪酸)逐步形成。研究证明,高等植物含有与磷脂酰丝氨酸结合的C20~C26。脂肪酸﹐黑麦(Secale cerealeL. )、拟南芥(Arabidopsis thalianaL. )与野燕麦(Avena fatua L.)原生质膜含有与脑苷脂类联结的极长侧链脂肪酸;此类脂肪酸是植物细胞的重要成分,在角质层蜡质以及质膜上大量存在。大量伸长酶催化VILCFAs生物合成中的多种伸长阶段,在伸长系统中,存在4种酶阶段:①一种3-酮脂羧基-CoA合成酶;②一种还原酶产生3-羟酰CoA与 NAD(P)H;③一种脱水酶产生2-烯酰-CoA;④一种还原酶利用还原吡啶核苷酸产生VLCFA-CoA。在①阶段,酰基CoA与丙二酸-CoA的缩合反应是有限的,这里至少包括两种酶,一种是延伸C18或C16~C20与C22,另一种是使C,-酰基引物伸长。众多类型除草剂抑制Cp。以上侧链的极长侧链脂肪酸的生物合成,砜吡草唑主要是抑制植物体内VLCFAs生物合成中C18:0~C20:0、C20:0 ~C22:0、C22:0~C24:0、C24:0~C26:0以及C26:0~C28:0的延伸阶段,即它专门抑制植物体内VLCFAs延伸酶催化的上述脂肪酸延伸阶段。砜吡草唑为苗前土壤处理除草剂。
(1)适用作物玉米、大豆、小麦、花生、棉花、向日葵与马铃薯等作物。
(2)防治对象 砜吡草唑为广谱性除草剂,可有效防治一系列一年生禾本科杂草,包括狗尾草属(Setaria)、马唐属(Digitaria)、稗属(Echinochloa)、蜀黍属(Panicum)、高粱属(Sorghum)等杂草以及苋属(Amaranthus )、曼陀罗属(Datura )、茄属(Solanum )、蒿麻属(Abutilon )、藜属(Chenopodium)等阔叶杂草。其杀草谱大于乙草胺与异丙甲草胺,对尚麻、豚草、宽叶臂形草、稷、野黍、费氏狗尾草、藜、反枝苋及二色高粱等几乎所有杂草的防治效果均优于异丙甲草胺,而且喷药后稳定的防治效果可长达85d之久。用量为125(黏壤土)250g/hm2(粉砂黏壤土),能够防除大量的禾本科杂草和阔叶杂草,用量比异丙甲草胺低8~10倍,相当于目前我国广泛使用的乙草胺的8%~10%,除草效果特别是早期防治绿狗尾草、蒺藜和苋菜的效果优于S-异丙草胺;用量250g/hm优于注册应用的所有除草剂品种对玉米田的茴麻、地肤与卷茎蓼的防治效果。由此可知,单位面积用药量低、除草效果好及除草持效期长是其突出特点,今后有可能部分取代乙草胺与异丙草胺等常用品种。砜吡草唑在玉米苗前除草时即使不添加安全剂对作物仍然有很好的安全性,在苗后使用同样不会伤害到玉米植株,在我国玉米和大豆等作物上具有很好的应用前景。
大鼠急性经口LD50≥2000mg/kg,大鼠急性经皮LD50>2000mg/kg。大鼠急性吸入LC50>5800mg/m3。山齿鹑和野鸭经口LD50>2250mg/kg,大翻车鱼LC50>2.8mg/L,虹鳞鱼LC50>2.2mg/L,大型蚤LC50>4.4mg/L,糠虾LC50>1.4mg/L,蜜蜂接触毒性LC50>100g/只。
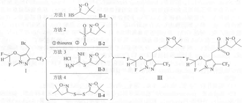
砜吡草唑的合成方法主要有如下4种:其中方法4中需要使用还原剂,主要为NaBH4、t-BuLi、NaSO2CH2OH,最后将硫醚氧化成飙使用的氧化剂主要为mCPBA、H2O2等。


