56978-14-4
中文名称
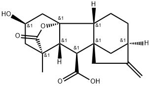
赤霉素A51
英文名称
3β,4aα-Dihydroxy-1β-methyl-8-methylenegibbane-1α,10β-dicarboxylic acid 1,4a-lactone
CAS
56978-14-4
分子式
C19H24O5
分子量
332.4
MOL 文件
56978-14-4.mol
更新日期
2025/03/14 10:16:32

基本信息
中文别名
赤霉素A51 英文别名
GA51Gibberellin A51
3β,4aα-Dihydroxy-1β-methyl-8-methylenegibbane-1α,10β-dicarboxylic acid 1,4a-lactone
3β,4aα-Dihydroxy-1β-methyl-8-methylenegibbane-1α,10β-dicarboxylic acid 1,4a-lactone
Gibbane-1,10-dicarboxylic acid, 3,4a-dihydroxy-1-methyl-8-methylene-, 1,4a-lactone, (1α,3β,4aα,4bβ,10β)-
(1R,3R,4aR,4bR,7R,9aR,10S,10aR)-3-hydroxy-1-methyl-8-methylene-13-oxododecahydro-4a,1-(epoxymethano)-7,9a-methanobenzo[a]azulene-10-carboxylic acid